@cestevez2484

22 Publicaciones

455 Interacciones

0 Seguidores

0 Siguiendo

Lista de publicaciones de cestevez2484

apuntes

-

Apuntes Gestión Logística y Comercial

He publicado nuevos apuntes de Gestión Logística y Comercial: Apuntes Gestión Logística y Comercial

Tema-1-y-2-Gestion-Logistica.pdf
TEMA-3.-COSTES-LOGISTICOS-Y-VOLUMEN-OPTIMO-DE-PEDIDO.pdf
Temas-4-y-5-Gestion-Logistica.pdf
Documentos-compraventa-y-gestion-logistica-del-almacen.pdf
Gestion-logisitca-almacen-logistica-inversa-y-costes-de-transporte.pdf

He publicado nuevos apuntes de Contabilidad y Fiscalidad: Supuesto-examen-Contabilidad-y-Fiscalidad.pdf

3 páginas

apuntes

-

PIAC

He publicado nuevos apuntes de Proceso integral de la actividad comercial: PIAC

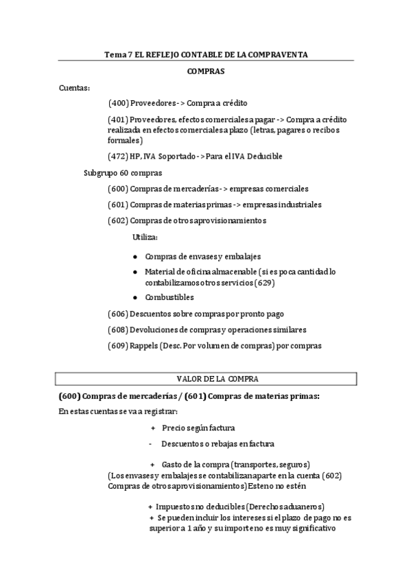
COMPRAS-Y-VENTAS-PIAC.pdf
IVA-Y-PRORRATA-PIAC.pdf
4.-SUBSISTEMAS-TRIBUTARIOS-LOCAL-AUTONOMICO-Y-ESTATAL-1-1.pdf
ELEMENTOS-TRIBUTARIO-IRPF-IS.odt-1-4-2.pdf
Sistema-tributario-espanol.pdf
Contabilizacion-gastos.pdf

He publicado nuevos apuntes de Formación y Orientación Laboral: FOL-La-jornada-ordinaria.pdf

5 páginas

He publicado nuevos apuntes de Gestión de Recursos Humanos: Gestion-RRHH-percepciones-salariales-y-extrasalariales.pdf

7 páginas

He publicado nuevos apuntes de Gestión de Recursos Humanos: Gestion-RRHH-Tema-5-El-salario.pdf

4 páginas

apuntes

-

Gestión Financiera

He publicado nuevos apuntes de Gestión Financiera: Gestión Financiera

Gestion-Financiera-Temas-1-y-2.pdf
GF-Tema-11-Valores-mobiliarios-teoria-y-practica-ejemplos.pdf

He publicado nuevos apuntes de Gestión de Recursos Humanos: BLOQUE-2-GESTION-RRHH temas 3 y 4.pdf

16 páginas

He publicado nuevos apuntes de Inglés: Vocabulario ingles-temario-entero.pdf

19 páginas

He publicado nuevos apuntes de Gestión de la documentación jurídica y empresarial: Gestion-Juridica-Tema-7-Union-Europea.pdf

11 páginas

He publicado nuevos apuntes de Gestión de Recursos Humanos: Gestion-RRHH-bloque-1-temas-1-y-2.pdf

11 páginas