@chenoveko

Bio: Que comiencen los juegos de la física :)

75 Publicaciones

2.88k Interacciones

3 Seguidores

0 Siguiendo

Lista de publicaciones de chenoveko

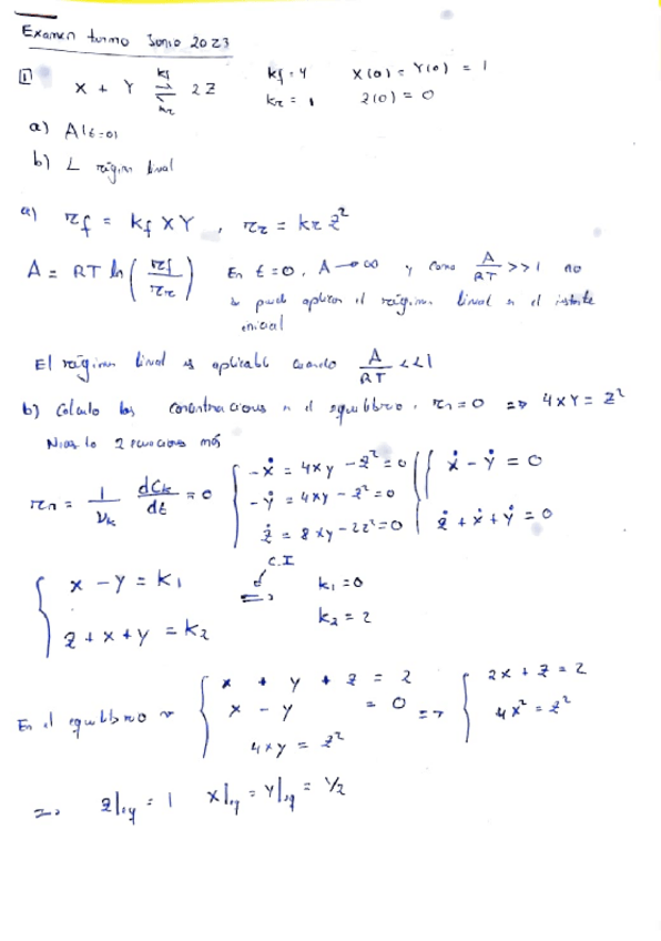
He publicado nuevos examenes de 3º Termodinámica del No Equilibrio: examanes-termo.pdf

14 páginas

He publicado nuevos apuntes de 3º Termodinámica del No Equilibrio: apuntes-termo.pdf

10 páginas

ejercicios

-

Ejercicios

He publicado nuevos ejercicios de 3º Termodinámica del No Equilibrio: Ejercicios

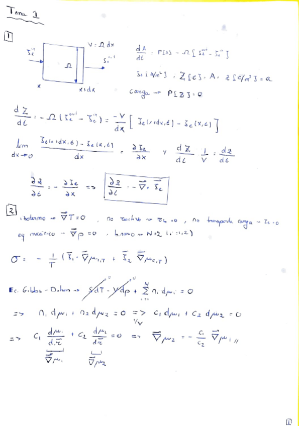
tema-1-termo.pdf
tema-4-termo.pdf
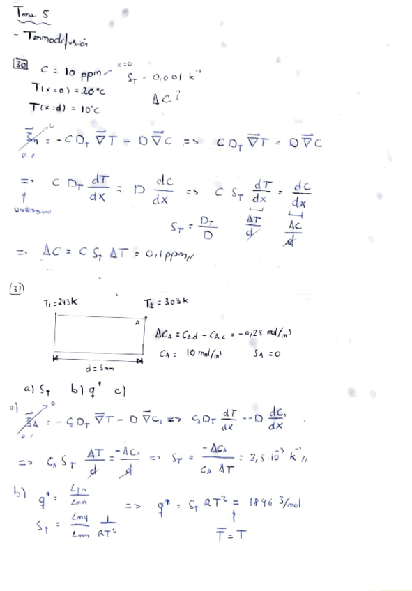
tema-5-termo.pdf
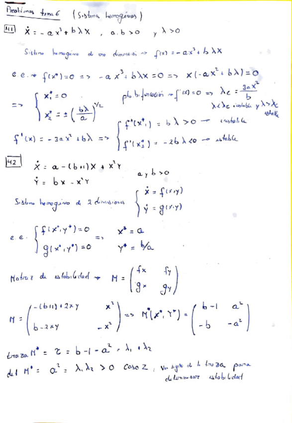
tema-6-termo.pdf

examenes

-

Exámenes

He publicado nuevos examenes de 2º Óptica: Exámenes

1-parcial-optica.pdf
2-parcial-optica.pdf
finales-optica.pdf

He publicado nuevos apuntes de 2º Óptica: apuntes-optica.pdf

5 páginas

ejercicios

-

Ejercicios atomos y moleculas

He publicado nuevos ejercicios de 3º Estructura de la Materia: Ejercicios atomos y moleculas

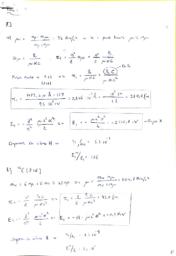
ejercicios-atomos-mono.pdf
ejercicios-atomos-poli.pdf
ejercicios-moleculas.pdf

examenes

-

Exámenes

He publicado nuevos examenes de 3º Estructura de la Materia: Exámenes

examem-particulas-2021.pdf
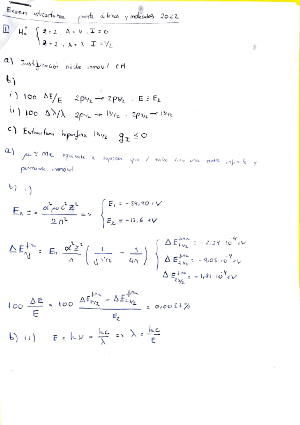
examen-atomos-2022.pdf
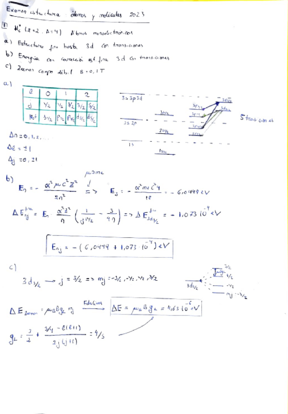
examen-atomos-2023.pdf
examen-particulas-2023.pdf

apuntes

-

Apuntes

He publicado nuevos apuntes de 3º Estructura de la Materia: Apuntes

apuntes-nuclear-y-particulas.pdf
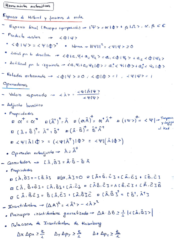
apuntes-atomos-y-moleculas.pdf

ejercicios

-

Nuclear y particulas

He publicado nuevos ejercicios de 3º Estructura de la Materia: Nuclear y particulas

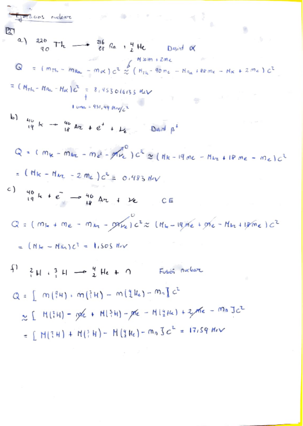
ejercicios-nuclear.pdf
ejercicios-particulas.pdf
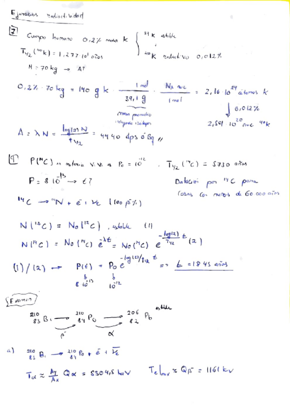
ejercicios-radiactividad.pdf

ejercicios

-

Ejercicios resueltos

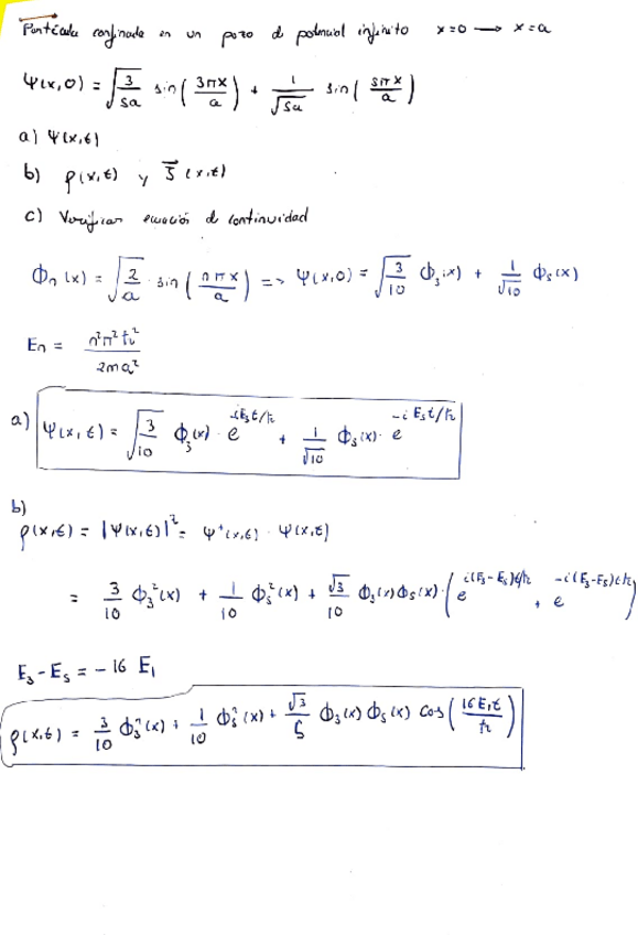
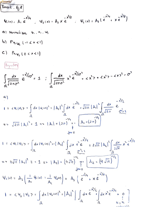
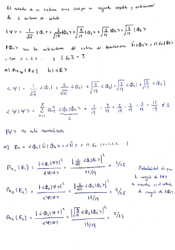
He publicado nuevos ejercicios de 2º Física Cuántica I: Ejercicios resueltos

tema4Cuantica.pdf
tema2Cuantica.pdf
tema3Cuantica.pdf
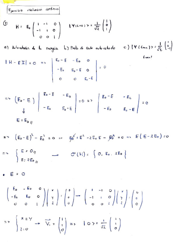
ejerLibroCuantica.pdf

apuntes

-

Apuntes

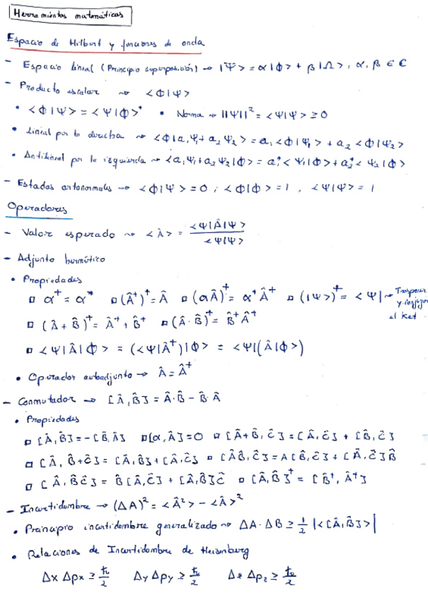
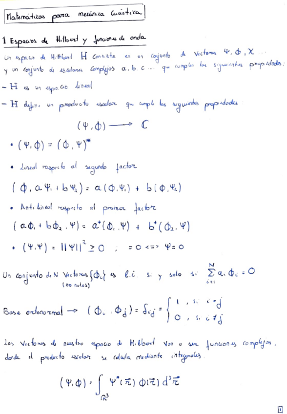
He publicado nuevos apuntes de 2º Física Cuántica I: Apuntes

introCuantica.pdf
masimportanteCuantica.pdf
resumenCuantica.pdf
apuntesCuantica.pdf

examenes

-

Examenes

He publicado nuevos examenes de 2º Física Cuántica I: Examenes

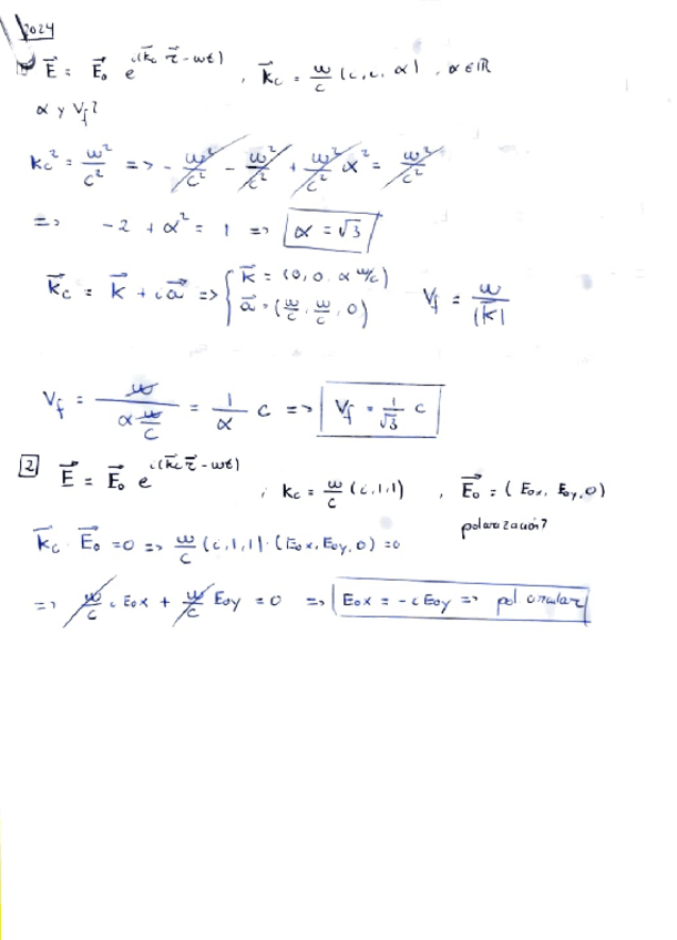
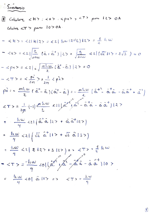
parcialCuantica.pdf
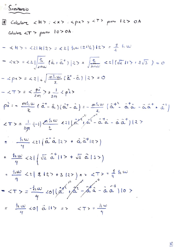
seminario.pdf
ejerExamenCuantica.pdf

He publicado nuevos apuntes de 2º Electromagnetismo II: formularioElectro.pdf

5 páginas

trabajos

-

Entregables

He publicado nuevos trabajos de 2º Electromagnetismo II: Entregables

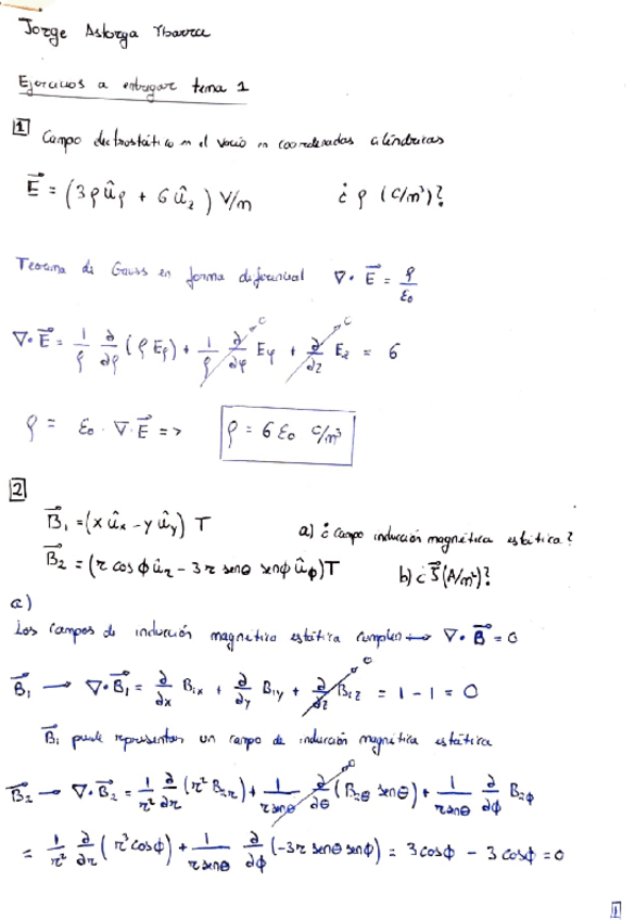
entregable1electro.pdf
entregable2electro.pdf

ejercicios

-

Ejercicios resueltos

He publicado nuevos ejercicios de 2º Electromagnetismo II: Ejercicios resueltos

tema5electro.pdf
tema3electro.pdf
tema6electro.pdf
tema4electro.pdf
tema2electro.pdf
tema1electro.pdf