@cinnamon__

Bio: hola

11 Publicaciones

448 Interacciones

1 Seguidores

0 Siguiendo

Lista de publicaciones de cinnamon__

He publicado nuevos apuntes de 3º Historia de la Lengua Inglesa: APUNTES-HISTORIA-DE-LA-LENGUA-INGLESA.pdf

15 páginas

He publicado nuevos apuntes de 3º Literatura Inglesa Iii: TEORIA-UTIL-PARA-COMENTARIOS-LITERATURA-INGLESA-III.pdf

2 páginas

He publicado nuevos apuntes de 3º Literatura Inglesa Iii: LITERATURA-INGLESA-III-TEXTOS-ANALIZADOS.pdf

22 páginas

apuntes

-

APUNTES EXÁMENES PAI

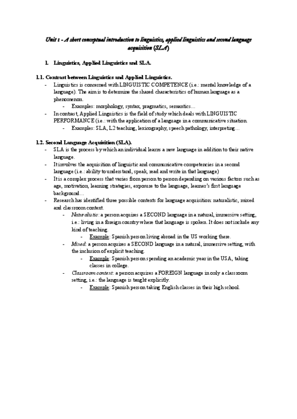
He publicado nuevos apuntes de 3º Principios del Aprendizaje del Inglés: APUNTES EXÁMENES PAI

PAI-Tema-4-2a-mitad.pdf
PAI-Tema-3-2a-mitad.pdf
PAI-Tema-2-1a-mitad.pdf
PAI-Tema-1-1a-mitad.pdf

apuntes

-

FONÉTICA SUPRASEGMENTAL - APUNTES

He publicado nuevos apuntes de 3º Fonetica Suprasegmental: FONÉTICA SUPRASEGMENTAL - APUNTES

FONETICA-SUPRASEGMENTAL-TEMAS-3-4-Y-5.pdf
FONETICA-SUPRASEGMENTAL-TEMAS-1-Y-2.pdf

He publicado nuevos apuntes de 3º Literatura Norteamericana Ii: TEORIA-NORTEAMERICANA-II.pdf

13 páginas

He publicado nuevos apuntes de 1º Estudios Culturales en Lengua Inglesa I: Apuntes-Culturales-I-II.pdf

pdf