@claraccruces
71 Publicaciones
7.05k Interacciones
0 Seguidores
0 Siguiendo
Lista de publicaciones de claraccruces
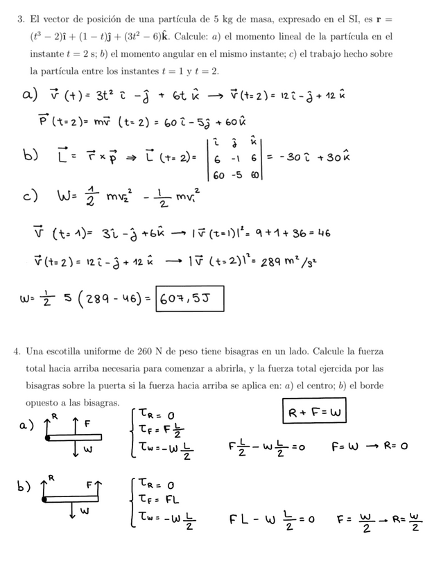
He publicado nuevos ejercicios de 1º Física: Ejercicios-resueltos-fisica.pdf
71 Publicaciones
7.05k Interacciones
0 Seguidores
0 Siguiendo
He publicado nuevos ejercicios de 1º Física: Ejercicios-resueltos-fisica.pdf