@cloroformo_

Estudios: Grado en Física (UCO) ...Mostrar más

153 Publicaciones

3.11k Interacciones

7 Seguidores

11 Siguiendo

Lista de publicaciones de cloroformo_

apuntes

-

Tema 7. Campo magnético en presencia de medios materiales

He publicado nuevos apuntes de 3º Electromagnetismo I: Tema 7. Campo magnético en presencia de medios materiales

Tema-8.-Campos-de-variacion-lenta.pdf
Tema-5.-Corriente-electrica.pdf
Tema-7.-Campo-magnetico-en-presencia-de-medios-materiales.pdf
Tema-6.-Magnetostatica.pdf

apuntes

-

Temario Electrostática Completo

cn esto apruebas 100%%%

Tema-4.-Energia-y-fuerzas-en-sistemas-electrostaticos.pdf
Tema-2.-Resolucion-de-problemas-electrostaticos.pdf
Tema-3.-Campo-electrostatico-en-presencia-de-medios-materiales.pdf
Tema-1.-Electrostatica.pdf

He publicado nuevos examenes de 1º Álgebra Lineal y Geometría I: Recopilacion-Examenes-24-25.pdf

11 páginas

ejercicios

-

Boletines completos y explicados

He publicado nuevos ejercicios de 2º Métodos Matemáticos II: Boletines completos y explicados

Prob-Boletin-2.pdf
Prob-Boletin-3.pdf
Prob-Boletin-4.pdf
Prob-Boletin-1.pdf
Prob-Boletin-5.pdf

He publicado nuevos examenes de 1º Fundamentos de Física Ii: ExamenProblemasJULIO2324.pdf

1 página

ejercicios

-

Boletines

He publicado nuevos ejercicios de 1º Fundamentos de Física Ii: Boletines

Sesion-V.pdf
Sesion-VIII.pdf
Sesiones-VI-y-VII.pdf

He publicado nuevos ejercicios de 2º Metodos Matematicos Iii: Boletin-2-RESUELTO.pdf

14 páginas

He publicado nuevos ejercicios de 2º Metodos Matematicos Iii: Boletin-1-RESUELTO.pdf

10 páginas

He publicado nuevos practicas de 2º Termodinámica II: Practica-1.-NOTA-10.-Coeficiente-de-dilatacion-volumetrica-de-un-fluido.pdf

7 páginas

He publicado nuevos ejercicios de 2º Mecánica y Ondas II: Boletín 2 RESUELTO.pdf

29 páginas

He publicado nuevos practicas de 2º Termodinámica II: Practica3.2.-Punto-critico.-Nota-95.pdf

10 páginas

He publicado nuevos examenes de 2º Termodinámica I: Examen-Enero-24-25.pdf

2 páginas

ejercicios

-

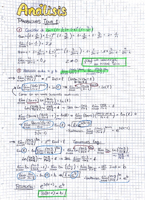
Problemas resueltos (Análisis I)

He publicado nuevos ejercicios de 1º Análisis Matemático I: Problemas resueltos (Análisis I)

Problemas-Tema-6-Analisis-I.pdf
Extra-5-6-7.pdf
Problemas-Tema-5-Analisis-I-1.pdf
Problemas-Tema-3.pdf
Problemas-Tema-2.pdf
Problemas-Tema-1.pdf

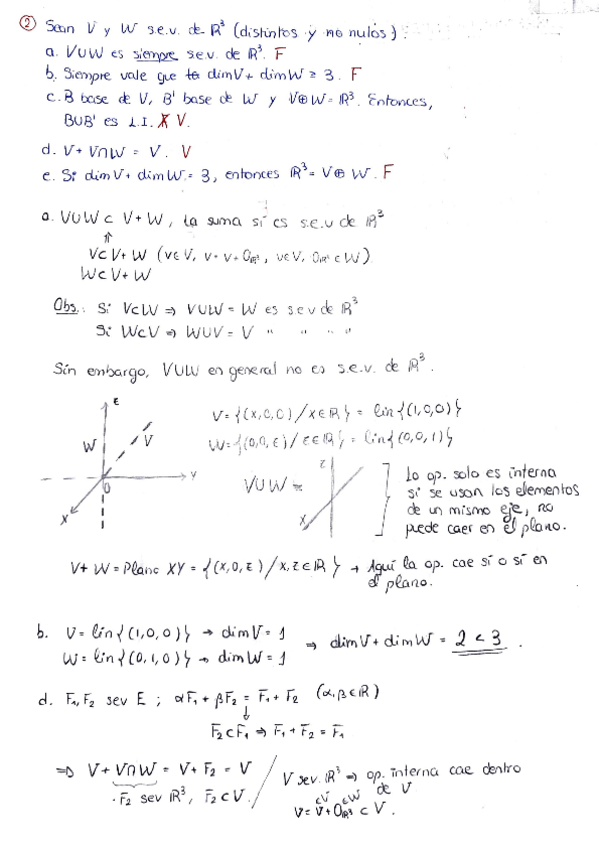
apuntes

-

Temas completos (Análisis I)

He publicado nuevos apuntes de 1º Análisis Matemático I: Temas completos (Análisis I)

Tema-6-Analisis-I.pdf
Tema-5-Analisis-I.pdf
Tema-7-Analisis-I.pdf
Tema-4.-Derivadas-y-diferenciales-primeras.pdf
Tema-2.-Series.pdf
Tema-3.-Funciones-reales-y-vectoriales.-Limites-y-continuidad.pdf

He publicado nuevos ejercicios de 2º Mecanica y Ondas I: LAGRANGE Resueltos.pdf

22 páginas

He publicado nuevos practicas de 2º Mecanica y Ondas I: PRACTICA-1-NOTA-8.-SEGUNDA-LEY-DE-NEWTON.pdf

24 páginas

He publicado nuevos examenes de 1º Álgebra Lineal y Geometría I: Prueba-2-Corregida.pdf

3 páginas

ejercicios

-

Boletines resueltos 24/25

He publicado nuevos ejercicios de 1º Álgebra Lineal y Geometría I: Boletines resueltos 24/25

Boletin-4.-ALG-I-24-25.pdf
Miniatura no disponible
Boletin-2.-ALG-I-24-25.pdf
Miniatura no disponible
Boletin-3.-ALG-I-24-24.pdf

He publicado nuevos practicas de 2º Termodinámica I: Practica3-Nota_8,5-Medida_del_calor_especifico_de_una_sustancia_y_el_equivalente_en_agua_de_un_recipiente.pdf

12 páginas

He publicado nuevos practicas de 2º Mecanica y Ondas I: PRACTICA3-NOTA-10-SISTEMASNOINERCIALES.pdf

20 páginas