@cmunozortega

Estudios: Máster en Física Nuclear (UCM) ...Mostrar más

106 Publicaciones

9.45k Interacciones

2 Seguidores

0 Siguiendo

Lista de publicaciones de cmunozortega

apuntes

-

1er cuatri termo nota 9.7

He publicado nuevos apuntes de 2º Laboratorio de Física II: 1er cuatri termo nota 9.7

calor-especifico-5.pdf
informe-nitrogeno-liquido-3.pdf
informe-termometro-4.pdf

ejercicios

-

problemas resueltos

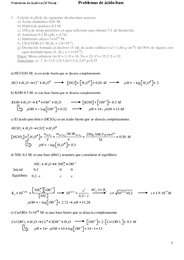
He publicado nuevos ejercicios de 1º Química: problemas resueltos

ProblemasT32021soluciones.pdf
ProblemasT22021soluciones.pdf
ProblemasT42021soluciones.pdf
ProblemasT82021soluciones.pdf
ProblemasT1soluciones.pdf
ProblemasT72021soluciones.pdf

He publicado nuevos examenes de 1º Matemáticas: e21-22mates1parcialsol.pdf

2 páginas

He publicado nuevos practicas de 1º Química: practica-4-redox.pdf

8 páginas

He publicado nuevos practicas de 1º Química: practica-3-acido-base-y-soubilidadl.pdf

3 páginas

He publicado nuevos practicas de 1º Química: practica-2-disoluciones-y-cinetica.pdf

3 páginas

He publicado nuevos apuntes de 1º Química: practica-1-acido-base.pdf

7 páginas