@CoronaPhysics

Bio: Ojalá viniera Vince con SlapChop porque Física me hace llorar

330 Publicaciones

32.89k Interacciones

10 Seguidores

2 Siguiendo

Lista de publicaciones de CoronaPhysics

examenes

-

Evaluables y exámenes resueltos

He publicado nuevos examenes de 4º Relatividad y Cosmología: Evaluables y exámenes resueltos

Ejercicio-evaluable-1.pdf
Junio-2010.pdf
Enero-2016.pdf
Examen-julio-2020.pdf
Examen-junio-2020.pdf
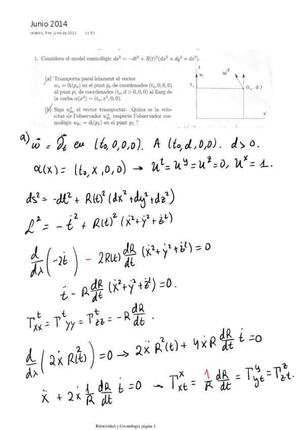
Junio-2014.pdf

ejercicios

-

Boletines resueltos

He publicado nuevos ejercicios de 4º Relatividad y Cosmología: Boletines resueltos

Adicionales-1.pdf
Adicionales-5.pdf
Boletin-1-2.pdf
Boletin-5.pdf
Adicionales-2.pdf
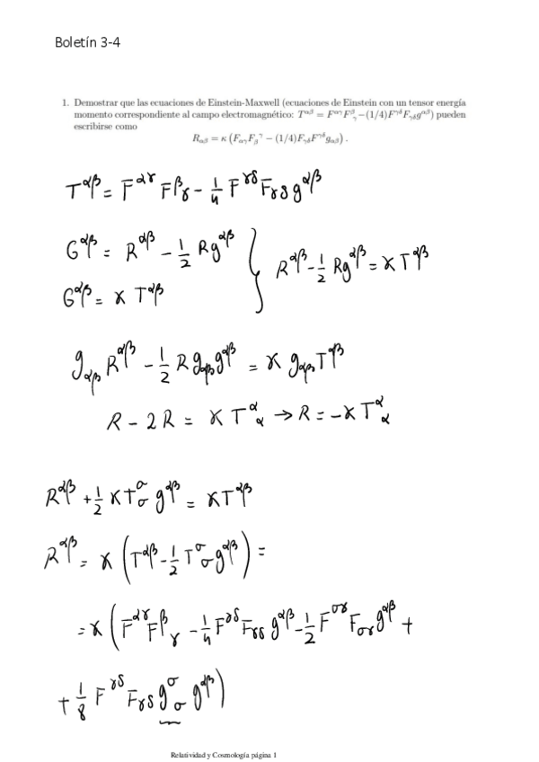
Boletin-3-4.pdf

ejercicios

-

Boletines resueltos

He publicado nuevos ejercicios de 4º Teoría Cuántica de Campos: Boletines resueltos

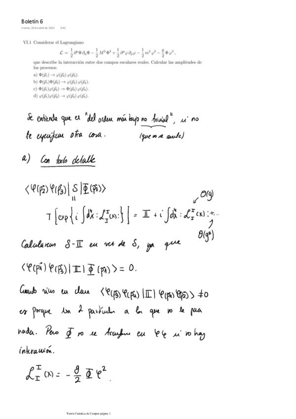
Boletin-3.pdf
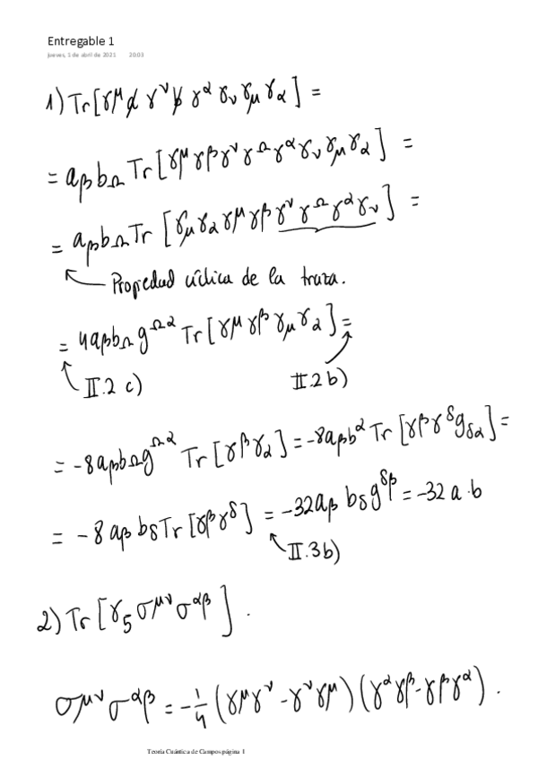
Entregable-1.pdf
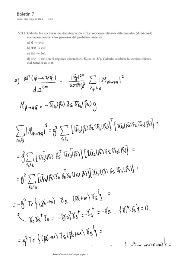
Boletin-7.pdf
Boletin-6.pdf
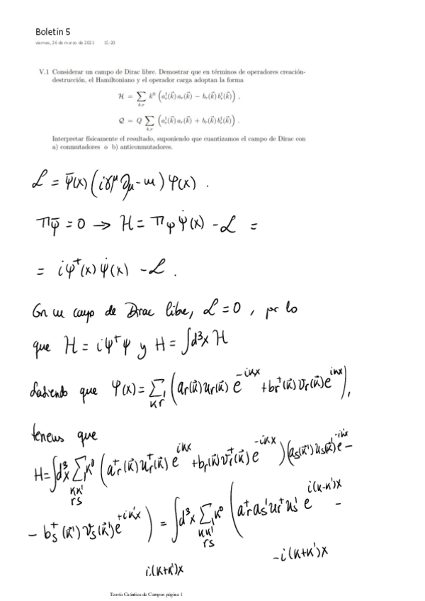
Boletin-5.pdf
Boletin-1.pdf

ejercicios

-

Boletines resueltos

He publicado nuevos ejercicios de 4º Mecánica Cuántica Avanzada: Boletines resueltos

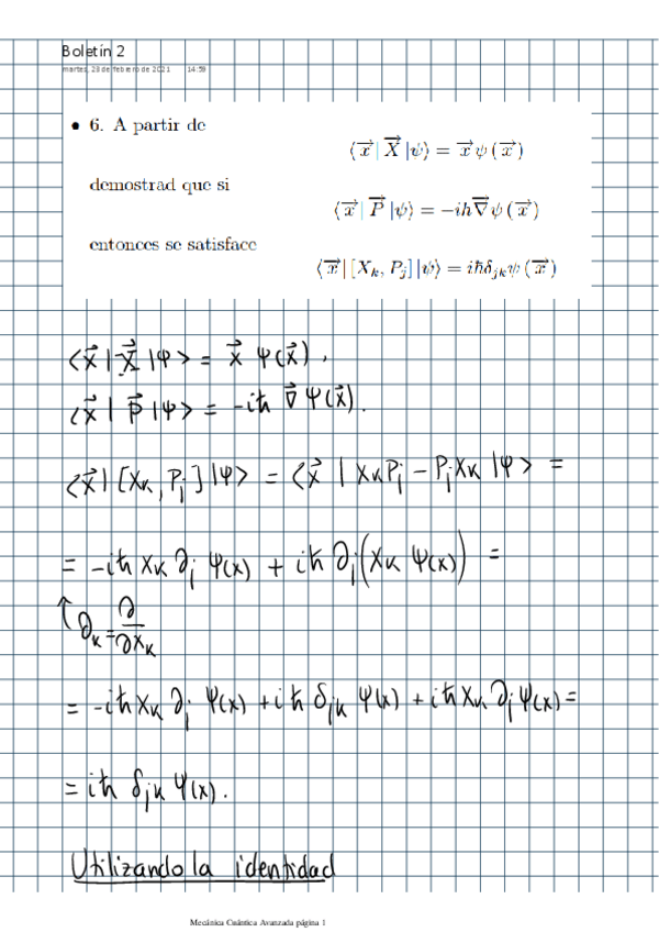
Boletin-2.pdf
Boletin-8.pdf
Boletin-1.pdf
Boletin-7.pdf
Boletin-5.pdf
Boletin-4.pdf

practicas

-

Laboratorio

He publicado nuevos practicas de 4º Física Nuclear y de Partículas: Laboratorio

Informe-Espectroscopia.pdf
Miniatura no disponible
Practica-2-NaI.rar
Informe-Geiger-Muller.pdf
Miniatura no disponible
Leeme.txt
AnalisisROOTGeigerMuller.rar

practicas

-

Informes laboratorio

He publicado nuevos practicas de 4º Física del Estado Sólido: Informes laboratorio

Practica-3.pdf
Practica-1.pdf
Practica-2.pdf
Practica-4.pdf
Practica-5.pdf

He publicado nuevos trabajos de 3º Física Cuántica II: Entregable2.pdf

4 páginas

He publicado nuevos trabajos de 3º Física Cuántica II: Entregable1.pdf

17 páginas