@CPS_02

66 Publicaciones

659 Interacciones

3 Seguidores

3 Siguiendo

Lista de publicaciones de CPS_02

apuntes

-

ERNIA

He publicado nuevos apuntes de 2º ENFERMERÍA DEL RECIÉN NACIDO, INFANCIA Y ADOLESCENCIA: ERNIA

RESUMEN-ERNIA-TEMA-2.2-y-2.3.pdf

apuntes

-

Farma 2

He publicado nuevos apuntes de 2º FARMACOTERAPIA, PRESCRIPCIÓN, NUTRICIÓN Y DIETÉTICA EN ENFERMERÍA: Farma 2

tema-1-farma.pdf
tema-2-farma.pdf
tema-3-farma.pdf
tema-4-farma.pdf

apuntes

-

apuntes FISIO rafa

He publicado nuevos apuntes de 1º Fisiología Humana Básica: apuntes FISIO rafa

TEMA-1-fisiologia.pdf
TEMA-2-NEUROFISIOLOGIA..pdf
TEMA-3-LA-SANGRE..pdf
TEMA-4-ELECTROCARDIOGRAMA..pdf
TEMA-4-FISIOLOGIA-CARDIOVASCULAR..pdf
TEMA-5-FISIOLOGIA-DE-LA-RESPIRACION.pdf

He publicado nuevos apuntes de 1º Fundamentos de Enfermería I: tema-12-fundamentos.pdf

4 páginas

apuntes

-

Fundamentos - AURORA 24/25

He publicado nuevos apuntes de 1º Fundamentos de Enfermería I: Fundamentos - AURORA 24/25

VALORACION-ENFERMERA-fundamentos.pdf
9.2-FUNDAMENTOS.pdf
TEMA-7-FUNDAMENTOS.pdf
TEMA-8-fundamentos.pdf
TEMA-9-fundamentos.pdf
tema-10-fundamentos.pdf

apuntes

-

Farmacología general 1º

He publicado nuevos apuntes de 1º Farmacología General: Farmacología general 1º

analgesicos-opioides.pdf
vacunas.pdf
ANESTESICOS-LOCALES.pdf
anestesicos-generales.pdf
corticoesteroides.pdf
farmacologia-de-los-procesos-infecciosos.pdf

apuntes

-

Farmacología general RAFA 24-25

He publicado nuevos apuntes de 1º Farmacología General : Farmacología general RAFA 24-25

FARMACOCINETICA-2.pdf
tema-3-farma.pdf
TEMA-2-UNIDAD-4-FARMACODINAMICA.pdf
tema-1-farma-2.pdf
ANTICOLINERGICOS.pdf
antihistaminicos.pdf

apuntes

-

Metodología sandra/jose mª 24-25

He publicado nuevos apuntes de 1º Metodología de la Investigación Aplicada a la Enfermería: Metodología sandra/jose mª 24-25

TEMA-1-sandra-metodologia.pdf
TEMA-4-METODOLOGIA-apuntes.pdf
metodologia-2-sandra.pdf
TEMA-5-metodologia-jose-maria.pdf
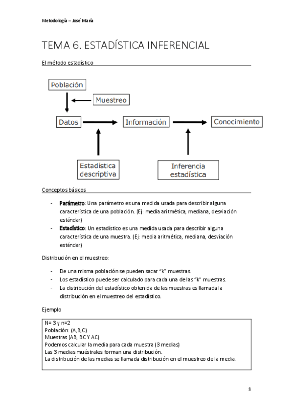
TEMA-6-metodologia-Jose-maria.pdf
tema-3-sandra.pdf

apuntes

-

bioquimica ESTER 24-25

He publicado nuevos apuntes de 1º BIOQUÍMICA-BIOFÍSICA: bioquimica ESTER 24-25

TEMA-9-BB.pdf
TEMA-10-BB.pdf
TEMA-11-bb.pdf
tema-8-bioquimica.pdf

apuntes

-

bioquimica Ester 24-25

He publicado nuevos apuntes de 1º Bioquímica-Biofísica: bioquimica Ester 24-25

Miniatura no disponible
Tema-7-bioquimica.pdf
TEMA-4-bioquimica.pdf
TEMA-3-bioquimica.pdf
tema-1-bioquimica.pdf
Tema-13-bb.pdf
Tema-12-bb.pdf