@Crg22

20 Publicaciones

354 Interacciones

0 Seguidores

0 Siguiendo

Lista de publicaciones de Crg22

He publicado nuevos apuntes de 5º Medicina Preventiva, Política Sanitaria y Zoonosis: Generalidades (temas 1 a 3) 25/26.pdf

17 páginas

He publicado nuevos test de 2º Patología General: Test-PG-TEMAS-1-Y-2.pdf

2 páginas

He publicado nuevos apuntes de 2º Parasitología: TEMAS-23-Y-24-2024.pdf

8 páginas

He publicado nuevos apuntes de 4º Enfermedades Parasitarias: TEMA-1-y-2-Generalidades-2024.pdf

9 páginas

He publicado nuevos apuntes de 4º Enfermedades Infecciosas II: TEMA-20-ALGUNAS-ENFERMEDADES-EXOTICAS-EN-RUMIANTES.pdf

13 páginas

He publicado nuevos apuntes de 4º Patologia Medica Ii: Deficiencia minerales.pdf

13 páginas

He publicado nuevos apuntes de 4º Patologia Medica Ii: Hipervit-A-y-carencia-Vit-B1.pdf

4 páginas

He publicado nuevos apuntes de 4º Patologia Medica Ii: INDIGESTIONES-EN-TERNEROS.pdf

6 páginas

He publicado nuevos apuntes de 4º Patología Obstétrica y de la Reproducción: Practica-D2-D3.pdf

7 páginas

He publicado nuevos apuntes de 4º Patología Obstétrica y de la Reproducción: Practica-D1.pdf

4 páginas

He publicado nuevos apuntes de 4º Patología Obstétrica y de la Reproducción: SC1.-PARTICULARIDADES-DE-LA-INTERVENCION-CESAREA.-REANIMACION-DE-NEONATOS..pdf

5 páginas

He publicado nuevos apuntes de 4º Patología Médica I: SEMINARIO-1.-OFTALMOLOGIA.pdf

3 páginas

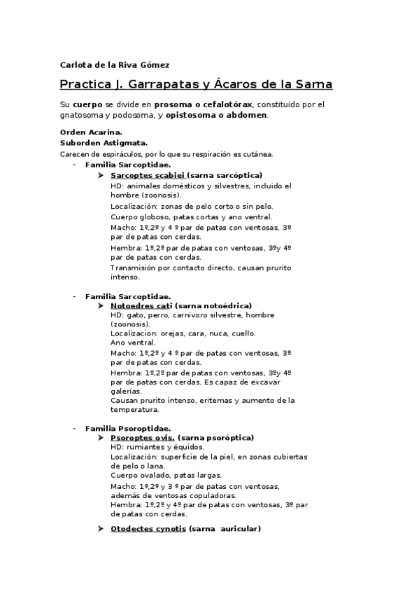
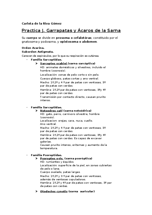
He publicado nuevos practicas de 2º Parasitología: Practica-J.docx

word

He publicado nuevos practicas de 1º Fisiología I: Practicas-fisiologia-1.pdf

39 páginas

practicas

-

Prácticas Fisio II

He publicado nuevos practicas de 1º Fisiología II: Prácticas Fisio II

Practica.pdf
Practica.pdf
Practica.pdf
Practica.pdf
Practica.pdf
Practica.pdf