@cristimm6

28 Publicaciones

1.27k Interacciones

1 Seguidores

0 Siguiendo

Lista de publicaciones de cristimm6

apuntes

-

GALÁN

He publicado nuevos apuntes de 2º Narrativa Inglesa y Norteamericana IA: GALÁN

GULLIVER'S TRAVELS.docx
THE BLOODY CHAMBER.docx
BRAVE NEW WORLD.docx
SINTAXIS.docx
EVELINE.docx
THE COUNTRY OF THE BLIND.docx

apuntes

-

TEMAS LUIS ESTUDILLO

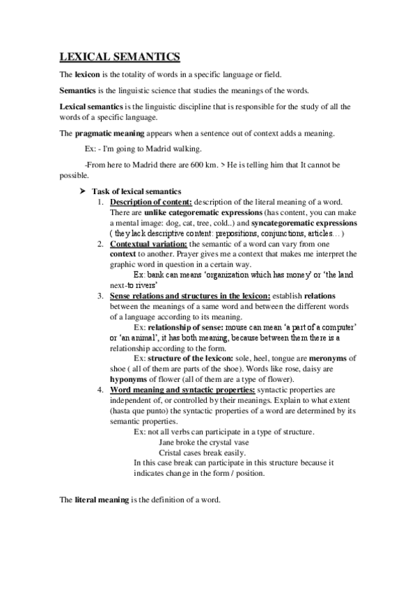
He publicado nuevos apuntes de 2º Semántica de la lengua inglesa I: TEMAS LUIS ESTUDILLO

Tema 3.pdf
Tema 1.pdf
Tema 2.pdf
Tema 4.pdf

apuntes

-

TEMAS JOSE MARÍA

He publicado nuevos apuntes de 3º Historia y Cultura de Los Países de Habla Inglesa: TEMAS JOSE MARÍA

TEMA 2.pdf
TEMA 12.pdf
HISTORIA TEMA 7.docx
TEMA 1.pdf
TEMA 3.pdf
UNIT 10.pdf

He publicado nuevos apuntes de 1º Lingüística: TEMA_5.pdf

10 páginas

He publicado nuevos apuntes de 1º Lingüística: TEMA_2.pdf

10 páginas

He publicado nuevos apuntes de 1º Lingüística: TEMA_1.pdf

3 páginas

He publicado nuevos apuntes de 1º Lingüística: TEMA_3.pdf

3 páginas

Hay una segunda parte de este tema, TEMA 4.2

5 páginas

Esta es la segunda parte del tema 4

5 páginas