@Cristy__94

100 Publicaciones

5.76k Interacciones

5 Seguidores

0 Siguiendo

Lista de publicaciones de Cristy__94

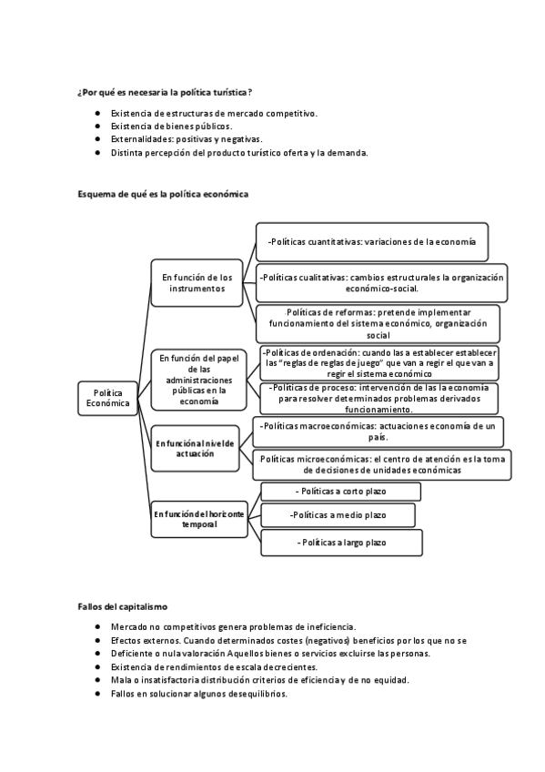
He publicado nuevos ejercicios de 5º Politica Economica del Turismo: Problema310resueltoP-1.pdf

Miniatura no disponible
21 páginas

He publicado nuevos ejercicios de 5º Politica Economica del Turismo: Problema38resueltoP.pdf

Miniatura no disponible
11 páginas

He publicado nuevos ejercicios de 5º Politica Economica del Turismo: Problema33resueltoP.pdf

Miniatura no disponible
3 páginas

He publicado nuevos practicas de 5º Politica Economica del Turismo: Supuesto43Resuelto1P.pdf

Miniatura no disponible
9 páginas

He publicado nuevos practicas de 5º Politica Economica del Turismo: Supuesto612resueltoCP.pdf

Miniatura no disponible
2 páginas

He publicado nuevos examenes de 5º Politica Economica del Turismo: examen-de-Politica-turistica.pdf

6 páginas

He publicado nuevos examenes de 5º Organizacion y Gestion de Procesos: test-tema-2-ogp.pdf

2 páginas

He publicado nuevos examenes de 5º Organizacion y Gestion de Procesos: ogp-test-4.pdf

2 páginas

He publicado nuevos examenes de 5º Organizacion y Gestion de Procesos: EXAMEN-ORGANIZACION-3.pdf

2 páginas

He publicado nuevos examenes de 3º Dirección de Operaciones: Decisiones Estratégicas: preguntas-de-examen.pdf

11 páginas

He publicado nuevos examenes de 3º Organizacion y Gestion de Procesos: Examen-con-codigos-Amadeus.pdf

5 páginas

He publicado nuevos test de 3º Organizacion y Gestion de Procesos: preguntas-amadeus-2.pdf

2 páginas

He publicado nuevos test de 3º Organizacion y Gestion de Procesos: OGP-T3.pdf

3 páginas

He publicado nuevos apuntes de 4º Derecho Administrativo del Sector Turistico: RESUMEN-DERECHO-ADMINISTRATIVO.pdf

6 páginas

He publicado nuevos ejercicios de 4º Derecho Administrativo del Sector Turistico: RESUELTO-Caso-Practico-no-8-hecho.pdf

3 páginas

He publicado nuevos ejercicios de 4º Derecho Administrativo del Sector Turistico: RESUELTO-CASO-PRACTICO-no-7.pdf

4 páginas

He publicado nuevos ejercicios de 4º Derecho Administrativo del Sector Turistico: RESUELTO-CASO-PRACTICO-No-4.pdf

2 páginas

He publicado nuevos ejercicios de 4º Derecho Administrativo del Sector Turistico: Cuestionario-3-y-4.pdf

4 páginas

He publicado nuevos ejercicios de 4º Derecho Administrativo del Sector Turistico: RESUELTO-CASO-PRACTICO-No-3.pdf

2 páginas

He publicado nuevos ejercicios de 4º Derecho Administrativo del Sector Turistico: RESUELTO caso práctico 6

2 páginas