@CrossThePond

14 Publicaciones

662 Interacciones

4 Seguidores

4 Siguiendo

Lista de publicaciones de CrossThePond

He publicado nuevos apuntes de 3º Tecnologías de la Información y la Comunicación: Formulas.pdf

4 páginas

He publicado nuevos examenes de 2º Dirección de Operaciones en Organizaciones Turísticas I: DOOT-I-parcial-1-opcion-B.pdf

9 páginas

He publicado nuevos apuntes de 2º Alemán Turístico I: Tema-3-Aleman.pdf

1 página

He publicado nuevos apuntes de 1º Economía I: Economics-I.pdf

7 páginas

He publicado nuevos ejercicios de 1º Fundamentos de Contabilidad: Accounting.pdf

7 páginas

He publicado nuevos ejercicios de 1º Fundamentos de Contabilidad: Accounting.pdf

7 páginas

He publicado nuevos apuntes de 1º Economía I: Economics-I.pdf

10 páginas

He publicado nuevos apuntes de 1º Economía I: Economics-I.pdf

10 páginas

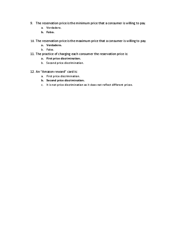
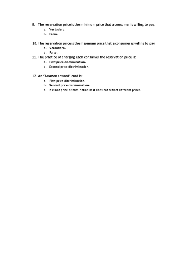
He publicado nuevos apuntes de 1º Economía I: Economics I. Kahoot T4.pdf

2 páginas

He publicado nuevos apuntes de 1º Economía I: Economics I. Kahoot T3 parte 2.pdf

3 páginas

He publicado nuevos apuntes de 1º Economía I: Economics I. Kahoot T3 parte 1.pdf

2 páginas

He publicado nuevos apuntes de 1º Economía I: Economics I.Kahoot T2.pdf

1 página

He publicado nuevos apuntes de 1º Economía I: Economics I. Kahoot T1.pdf

1 página