@CTRL_C

Estudios: Grado en Ingeniería Informática (UCO) ...Mostrar más

Bio: .

38 Publicaciones

732 Interacciones

2 Seguidores

2 Siguiendo

Lista de publicaciones de CTRL_C

He publicado nuevos practicas de 2º Sistemas Inteligentes: willy.pdf

13 páginas

He publicado nuevos practicas de 2º Arquitectura de Redes: Practica2AR.pdf

12 páginas

Hay un pdf más comprimido en mi perfil, pero en este se ven mejor las imágenes

12 páginas

He publicado nuevos practicas de 2º Arquitectura de Redes: PRACTICA1AR.pdf

12 páginas

practicas

-

CSE PRÁCTICAS

He publicado nuevos practicas de 1º Circuitos y Sistemas Electrónicos: CSE PRÁCTICAS

Practica-4-Transistor-bipolar.pdf
Practica-5.pdf
Practica-6-AO.pdf
Practica-1-completo.pdf

He publicado nuevos apuntes de 1º Matemática Discreta: Resumen-para-APROBAR-MD.pdf

4 páginas

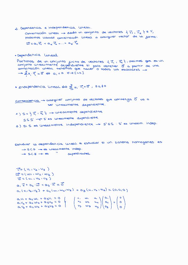
He publicado nuevos apuntes de 1º Álgebra Lineal: Tema-6.pdf

6 páginas

He publicado nuevos apuntes de 1º Álgebra Lineal: Tema-5.pdf

16 páginas

He publicado nuevos apuntes de 1º Álgebra Lineal: Tema-4.pdf

12 páginas

He publicado nuevos apuntes de 1º Álgebra Lineal: Tema-3.pdf

7 páginas

He publicado nuevos apuntes de 1º Álgebra Lineal: Tema-2.pdf

5 páginas

He publicado nuevos apuntes de 1º Álgebra Lineal: Tema-1.pdf

6 páginas

apuntes

-

Bachillerato + Evau

He publicado nuevos apuntes de 2º Dibujo técnico II: Bachillerato + Evau

Tema-1-Trazados-fundamentales.pdf
Tema-2-Potencia.pdf
Tema-3-Poligonos.pdf
Tema-4-Transformaciones-geometricas.pdf
Tema-5-Tangencias con potencia.pdf
Tema-6-Curvas tecnicas.pdf

apuntes

-

Física

Práctica circuitos

Como-medir-resistencia-voltaje-e-intensidad-en-un-circuito.pdf

practicas

-

IP

He publicado nuevos practicas de 1º Introducción a la Programación: IP

Practicas-1-IP.pdf
Practica-2-IP.pdf
Practicas-3-IP.pdf
Practica-4-IP-Funciones.pdf
Practica-5-IP.pdf
Practica-conjuntos.pdf