@DaanG

23 Publicaciones

1.34k Interacciones

0 Seguidores

0 Siguiendo

Lista de publicaciones de DaanG

He publicado nuevos ejercicios de 1º Física II: EJERCICIOS-PROPUESTOS-TEMA-3-fisica-II.pdf

3 páginas

He publicado nuevos apuntes de 3º Refino: Tablas-Refino.pdf

1 página

Explicada la resolución analítica paso a paso

5 páginas

He publicado nuevos ejercicios de 3º Eficiencia y Ahorro Energético: Climatizacion 2.pdf

3 páginas

He publicado nuevos apuntes de 2º Electromagnetismo: Ejercicios MAGNETOSTÁTICA.pdf

14 páginas

He publicado nuevos examenes de 1º Cálculo I: EXAMENES 2015.pdf

3 páginas

He publicado nuevos apuntes de 2º Modelización y Análisis Numérico: Taller 6 Mode.pdf

5 páginas

He publicado nuevos apuntes de 2º Modelización y Análisis Numérico: Taller 2 Mode.pdf

3 páginas

ejercicios

-

Ejercicios resueltos clase (COnductores,corriente,electrostatica..)

He publicado nuevos ejercicios de 2º Electromagnetismo: Ejercicios resueltos clase (COnductores,corriente,electrostatica..)

10 y 11 conductores.pdf
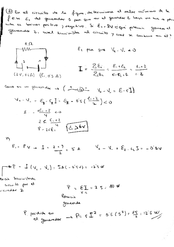
21 circuitos.pdf
Electrostatica 9.pdf
Electrostática 5.pdf
Electrostática 7 y 8.pdf
24 circuitos+ EJERCICIO PROPUESTO.pdf

He publicado nuevos examenes de 2º Ecuaciones Diferenciales: EcuacionesDiferenciales (1).pdf

68 páginas

He publicado nuevos apuntes de 1º Cálculo II: Calculo II (2 semana).pdf

6 páginas

He publicado nuevos apuntes de 1º Cálculo II: Calculo II Primera Semana.pdf

6 páginas

apuntes

-

Calculo Ii

He publicado nuevos apuntes de 1º Cálculo II: Calculo Ii

calculo 1.jpg
Miniatura no disponible
calc3.jpg