@Dajop

85 Publicaciones

73 Interacciones

0 Seguidores

0 Siguiendo

Lista de publicaciones de Dajop

He publicado nuevos apuntes de 3º Laboratorio de Electromagnetismo: INDUCCION-ELECTROMAGNETICA01.pdf

9 páginas

He publicado nuevos apuntes de 3º Laboratorio de Electromagnetismo: FENOMENOS-ELECTROSTATICOS01.pdf

5 páginas

apuntes

-

Transporte Carretero

He publicado nuevos apuntes de 2º Sistema de Transporte Carretero: Transporte Carretero

El-Sistema-Carretero-Mexicano.pdf
El-Sistema-Carretero-Mexicano.pdf
Descripcion-actual-del-Sistema-Carretero.pdf
Descripcion-actual-del-Sistema-Carretero.pdf
El-Servicio-de-Carga-Carretera-en-America.pdf
El-Servicio-de-Carga-Carretera-en-America.pdf

apuntes

-

Vías Terrestres

He publicado nuevos apuntes de 2º Proyecto de Vías Terrestres: Vías Terrestres

Carreteras-Urbanas01.pdf
Carreteras-Urbanas01.pdf
PLANEAMIENTO-DE-CARRETERAS01.pdf
PLANEAMIENTO-DE-CARRETERAS01.pdf

apuntes

-

Guías para Experimentos

He publicado nuevos apuntes de 3º Laboratorio de Electromagnetismo: Guías para Experimentos

SUPERFICIES-EQUIPOTENCIALES01.pdf
SUPERFICIES-EQUIPOTENCIALES01.pdf
LEYES-DE-KIRCHHOFF01.pdf
LEYES-DE-KIRCHHOFF01.pdf
LEY-DE-OHM01.pdf
LEY-DE-OHM01.pdf

apuntes

-

Bases de Datos

He publicado nuevos apuntes de 3º Programación y Bases de Datos: Bases de Datos

Modelo-Relacional-y-Estructura-de-los-Datos01.pdf
Modelo-Relacional-y-Estructura-de-los-Datos01.pdf
El-Algebra-Relacional01.pdf
El-Algebra-Relacional01.pdf
Reglas-de-Integridad01.pdf
Reglas-de-Integridad01.pdf

He publicado nuevos apuntes de 1º Elementos del Cálculo Vectorial: Coordenadas-Polares01.pdf

18 páginas

He publicado nuevos apuntes de 1º Elementos del Cálculo Vectorial: Calculo-de-Curvas-Parametricas01.pdf

23 páginas

He publicado nuevos apuntes de 1º Elementos del Cálculo Vectorial: Area-y-Longitud-de-Arco.pdf

11 páginas

He publicado nuevos apuntes de 1º Elementos del Cálculo Vectorial: Vectores-en-Dos-Dimensiones01.pdf

22 páginas

He publicado nuevos apuntes de 1º Elementos del Cálculo Vectorial: Ecuaciones-Parametricas01.pdf

18 páginas

He publicado nuevos apuntes de 1º Fundamentos Matemáticos: Conicas-y-cuadricas01.pdf

14 páginas

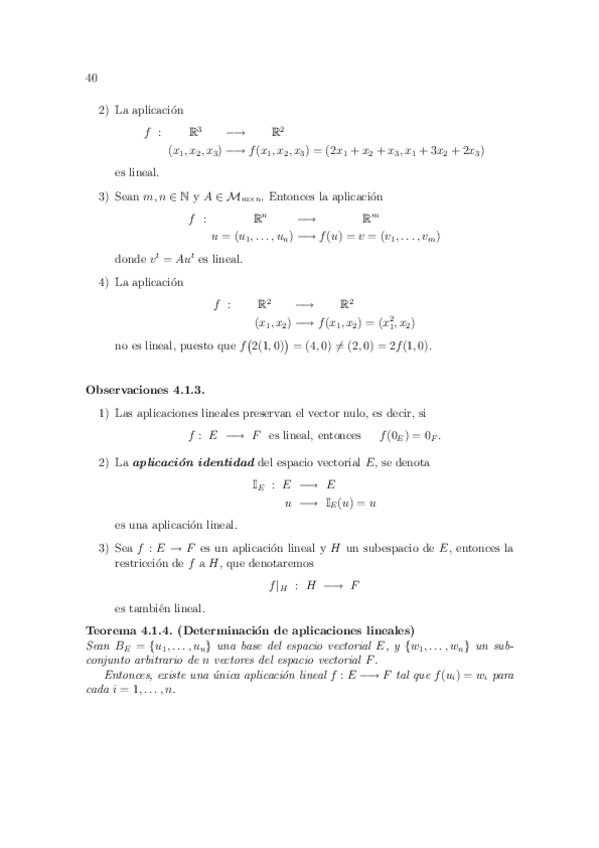
He publicado nuevos apuntes de 1º Fundamentos Matemáticos: Aplicaciones-lineales01.pdf

18 páginas

He publicado nuevos apuntes de 1º Fundamentos Matemáticos: Funciones01.pdf

18 páginas

He publicado nuevos apuntes de 1º Fundamentos Matemáticos: Espacios-vectoriales01.pdf

10 páginas

He publicado nuevos apuntes de 1º Fundamentos Matemáticos: Diagonalizacion-de-matrices01.pdf

17 páginas

He publicado nuevos apuntes de 1º Fundamentos Matemáticos: Sistemas-de-Ecuaciones-Lineales01.pdf

9 páginas

He publicado nuevos apuntes de 1º Fundamentos Matemáticos: Matrices-y-Determinantes01.pdf

18 páginas

He publicado nuevos examenes de 1º Comunicación Profesional Interdisciplinaria: EXAMEN-DE-COMUNICACION-ORAL01.pdf

3 páginas

He publicado nuevos examenes de 1º Comunicación Profesional Interdisciplinaria: Examen-de-Comunicacion-Escrita01.pdf

2 páginas