@DamaGS

386 Publicaciones

21.71k Interacciones

16 Seguidores

2 Siguiendo

Lista de publicaciones de DamaGS

ejercicios

-

MVG PROBLEMAS RESUELTOS TODOS LOS TEMAS

He publicado nuevos ejercicios de 3º Modelado y Visualización Gráfica: MVG PROBLEMAS RESUELTOS TODOS LOS TEMAS

PROBLEMAST1MALLADOPOLIGONAL.pdf
PROBLEMAST5TRANSFORMACIONVISTA.pdf
PROBLEMASDEEXAMENREPASOPARCIAL2.pdf
PROBLEMAST4SUPERFICIES.pdf
PROBLEMAST6CULLINGCLIPPING.pdf
PROBLEMAST2TRANSFORMACIONES.pdf

ejercicios

-

IA PROBLEMAS RESUELTOS TODOS LOS TEMAS

He publicado nuevos ejercicios de 3º Inteligencia Artificial: IA PROBLEMAS RESUELTOS TODOS LOS TEMAS

PROBLEMASTEMA1AprendizajeAutomatico.pdf
PROBLEMASTEMA2RedesNeuronales.pdf
PROBLEMASTEMA4PlanificacionAutomatica.pdf
PROBLEMASTEMA6RedesBayesianas.pdf
PROBLEMASTEMA5AprendizajeRefuerzo.pdf
PROBLEMASTEMA3ProcesamientoLenguajeNatural.pdf

He publicado nuevos practicas de 3º Modelado y Visualización Gráfica: Practica3-MVG-Curvas-Resuelta.pdf

11 páginas

He publicado nuevos ejercicios de 3º Modelado y Simulación Numérica: Problemas-Tema5-SDOs.pdf

5 páginas

He publicado nuevos ejercicios de 3º Modelado y Simulación Numérica: Problemas-Tema4-PCs.pdf

11 páginas

He publicado nuevos ejercicios de 3º Proceso Software y Gestión i: Tema5-LeanAgileScrum-Problemas.pdf

15 páginas

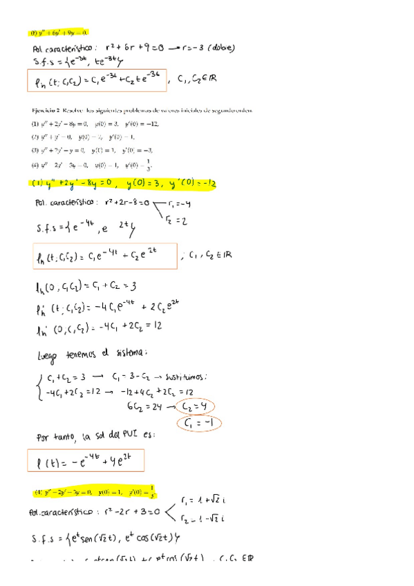
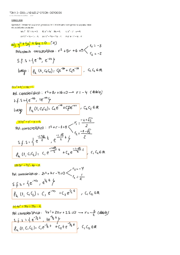
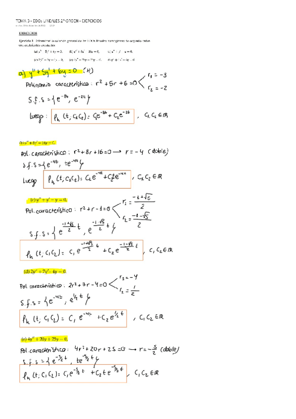
He publicado nuevos ejercicios de 3º Modelado y Simulación Numérica: Problemas-Tema3-EDOs2Orden.pdf

19 páginas

He publicado nuevos ejercicios de 3º Proceso Software y Gestión i: Tema4-CMMI-Problemas.pdf

10 páginas

examenes

-

EXÁMENES CONVOCATORIA RESUELTOS

He publicado nuevos examenes de 2º Redes de Computadores: EXÁMENES CONVOCATORIA RESUELTOS

EXAMEN-CONVO-DICIEMBRE-2020-RC.pdf
EXAMEN-CONVOCATORIA-2018-RC.pdf

examenes

-

EXÁMENES CONVOCATORIA RESUELTOS

He publicado nuevos examenes de 2º Redes de Computadores: EXÁMENES CONVOCATORIA RESUELTOS

EXAMEN-CONVO-DICIEMBRE-2020-RC.pdf
EXAMEN-CONVOCATORIA-2018-RC.pdf

examenes

-

EXÁMENES CONVOCATORIA RESUELTOS

He publicado nuevos examenes de 2º Redes de Computadores: EXÁMENES CONVOCATORIA RESUELTOS

EXAMEN-CONVO-DICIEMBRE-2020-RC.pdf
EXAMEN-CONVOCATORIA-2018-RC.pdf

He publicado nuevos apuntes de 2º Redes de Computadores: ESQUEMA-DIAGRAMAS-TEMPORALES-TCP.pdf

2 páginas

He publicado nuevos apuntes de 2º Redes de Computadores: ESQUEMA-DIAGRAMAS-TEMPORALES-TCP.pdf

2 páginas

He publicado nuevos apuntes de 2º Redes de Computadores: ESQUEMA-DIAGRAMAS-TEMPORALES-TCP-RC.pdf

2 páginas

He publicado nuevos examenes de 2º Introducción a la Ingeniería del Software y los Sistemas de Información I: Simulacro-Examen-Laboratorio-IISSI-1-2021.pdf

10 páginas

He publicado nuevos examenes de 2º Introducción a la Ingeniería del Software y los Sistemas de Información I: Simulacro-Examen-Laboratorio-IISSI-1-2021.pdf

10 páginas

He publicado nuevos examenes de 2º Introducción a la Ingeniería del Software y los Sistemas de Información I: Simulacro-Examen-Laboratorio-IISSI-1-2021.pdf

10 páginas

He publicado nuevos apuntes de 2º Lógica Informática: ESQUEMA-TEMA-8-LI-DEDUCCION-NATURAL.pdf

2 páginas

He publicado nuevos apuntes de 2º Lógica Informática: ESQUEMA-TEMA-8-LI-DEDUCCION-NATURAL.pdf

2 páginas

apuntes

-

RESUMEN TEMA 12 BLOQUE IV

He publicado nuevos apuntes de 2º Introducción a la Ingeniería del Software y los Sistemas de Información I: RESUMEN TEMA 12 BLOQUE IV

RESUMEN-TEMA-12-IISSI-1-BLOQUE-IV.pdf