@Daniel_E

309 Publicaciones

734 Interacciones

12 Seguidores

0 Siguiendo

Lista de publicaciones de Daniel_E

He publicado nuevos examenes de 2º Arquitectura de Redes: Parcial2AR2425.pdf

3 páginas

Muchos tienen dudas que no supe en el momento o correcciones (en rojo) del profesor

37 páginas

Boletín Tema 1 resuelto (la mitad esta corregido)

32 páginas

He publicado nuevos examenes de 2º Matemática Discreta: 1a-conv-2223-resuelto.pdf

3 páginas

He publicado nuevos examenes de 2º Matemática Discreta: Examen-Ev.-Alternativa-Mayo-resuelto-24.pdf

4 páginas

He publicado nuevos examenes de 2º Matemática Discreta: Examen-Marzo-24-resuelto.pdf

3 páginas

He publicado nuevos examenes de 2º Matemática Discreta: Exame-2da-conv-2223-resuelto.pdf

4 páginas

He publicado nuevos examenes de 2º Matemática Discreta: Examen-Junio-24-resuelto.pdf

5 páginas

He publicado nuevos examenes de 2º Redes de Computadores: Examen-Enero-2023-resuelto.pdf

3 páginas

He publicado nuevos examenes de 2º Redes de Computadores: Examen-Julio-23-resuelto.pdf

2 páginas

He publicado nuevos examenes de 2º Redes de Computadores: Examen-Enero-2024-resuelto.pdf

3 páginas

apuntes

-

examen 2021 febrero resuelto

He publicado nuevos apuntes de 2º Redes de Computadores: examen 2021 febrero resuelto

WhatsApp-Image-2025-01-29-at-17.44.48-1.jpeg
WhatsApp-Image-2025-01-29-at-17.44.48-2.jpeg
WhatsApp-Image-2025-01-29-at-17.44.48.jpeg

examenes

-

1er parcial 24/25

He publicado nuevos examenes de 2º Análisis y Diseño de Datos y Algoritmos: 1er parcial 24/25

WhatsApp-Image-2025-01-29-at-17.40.50-2.jpeg
WhatsApp-Image-2025-01-29-at-17.40.50-1.jpeg
WhatsApp-Image-2025-01-29-at-17.40.50.jpeg
WhatsApp-Image-2025-01-29-at-17.40.51.jpeg

apuntes

-

1er cuatri ADDA

Ordenado mes-dia

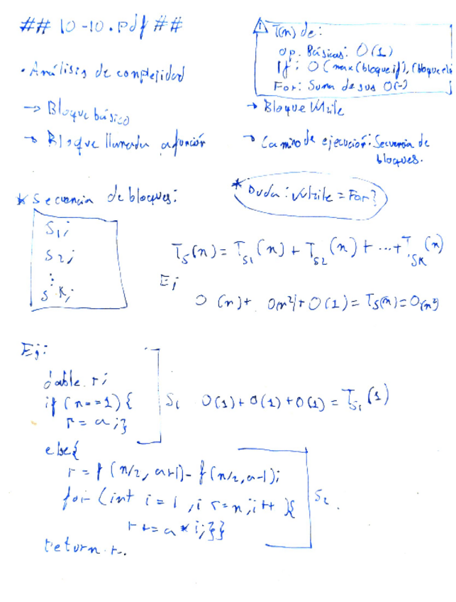
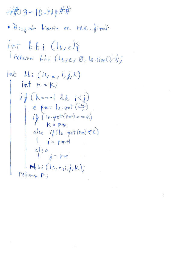
10-10.pdf
10-24.pdf
10-3.pdf
10-31.pdf
11-21.pdf
11-28.pdf

apuntes

-

Redes de Computadores

Ordenado mes-dia

10-16.pdf
10-18.pdf
10-2.pdf
10-23.pdf
10-30.pdf
10-4.pdf