@danig18

101 Publicaciones

1.51k Interacciones

4 Seguidores

1 Siguiendo

Lista de publicaciones de danig18

He publicado nuevos apuntes de 4º Ingeniería de Producción Aeronáutica: resumen-temario.pdf

41 páginas

apuntes

-

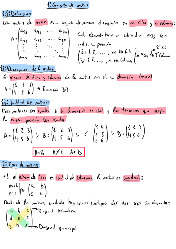
Matrices, determinantes y sistemas

He publicado nuevos apuntes de 2º Matemáticas II: Matrices, determinantes y sistemas

potencia-ene-sima-de-una-matriz.pdf
selectividadtema02.pdf
teoria-matrices.pdf
teoria-determinantes.pdf
teoria-sistemas-de-ecuaciones.pdf

He publicado nuevos ejercicios de 4º Ingeniería de Producción Aeronáutica: Tarea-curva-de-aprendizaje.pdf

2 páginas

apuntes

-

Cinética quimica

Teoría y ejercicios variados

Unidad-4.-Cin-tica-qu-mica.pdf
Problemas-Cinetica.pdf
Ejercicios-cortos-teoricos.pdf

He publicado nuevos ejercicios de 2º Química: Ejercicios-resueltos-cinetica.pdf

6 páginas

He publicado nuevos apuntes de 2º Química: teoria-cinetica.pdf

4 páginas

He publicado nuevos apuntes de 2º Química: teoria-hibridacion.pdf

3 páginas

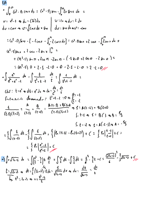
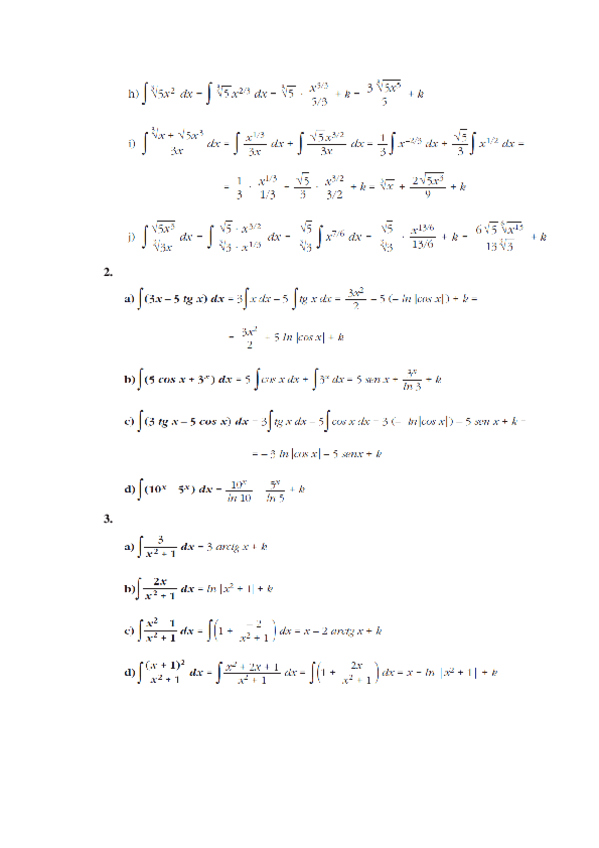
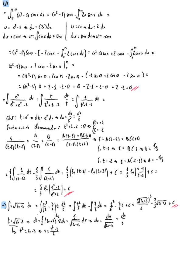
He publicado nuevos ejercicios de 2º Matemáticas II: Problemas-integrales-y-calculo-de-areas.pdf

9 páginas

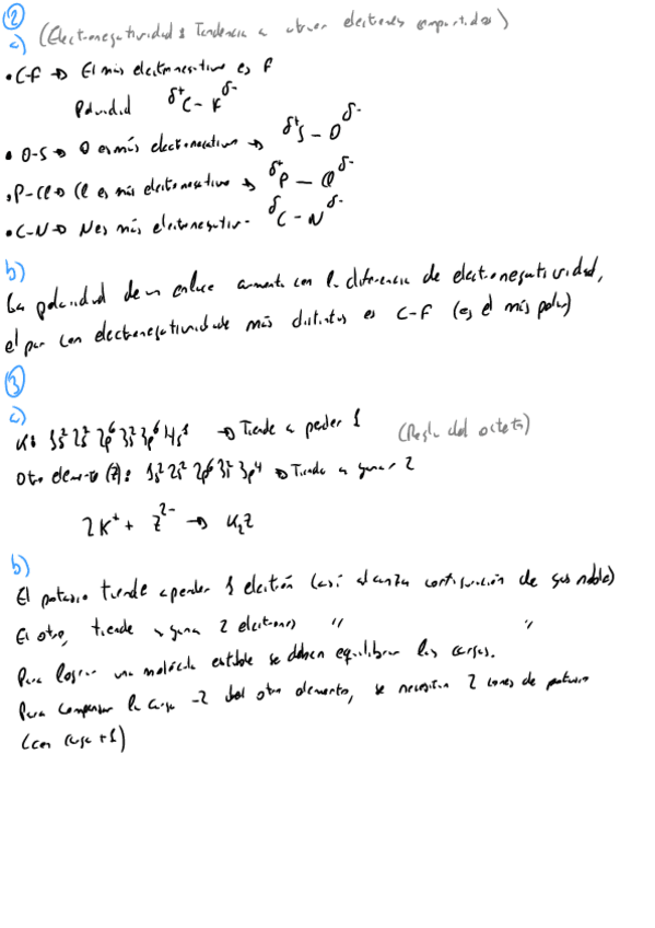
He publicado nuevos ejercicios de 2º Química: Ejercicios-enlaces-e-hibridaciones.pdf

6 páginas

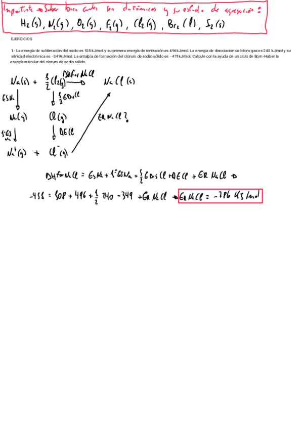
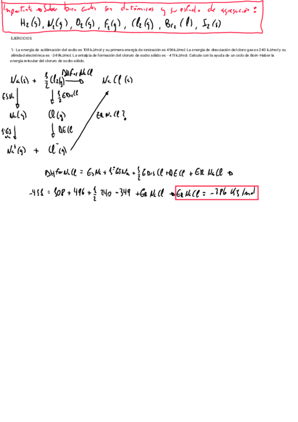
He publicado nuevos ejercicios de 2º Química: ciclo-de-borh-haber.pdf

5 páginas

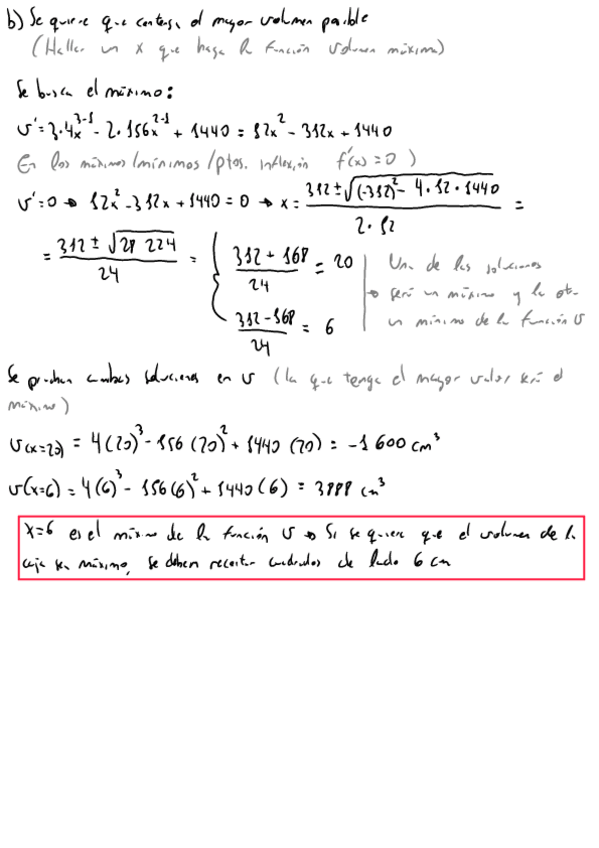
He publicado nuevos apuntes de 2º Matemáticas II: ejercicios-optimizacion-resueltos.pdf

6 páginas

ejercicios

-

ejercicios integrales clm

Soy Dani, estudiante de último año de Ing. Aeroespacial. Si te gusta mi contenido y necesitas clases particulares de refuerzo no dudes en contactarme!!

enunciados.pdf
soluciones.pdf

He publicado nuevos apuntes de 2º Matemáticas II: teoria-y-ejemplos-integrales.pdf

10 páginas

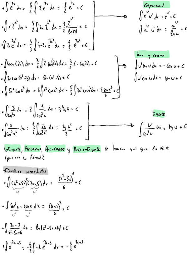
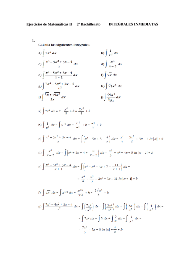
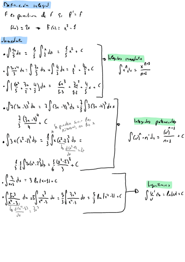
He publicado nuevos apuntes de 2º Matemáticas II: integrales-inmediatas.pdf

7 páginas

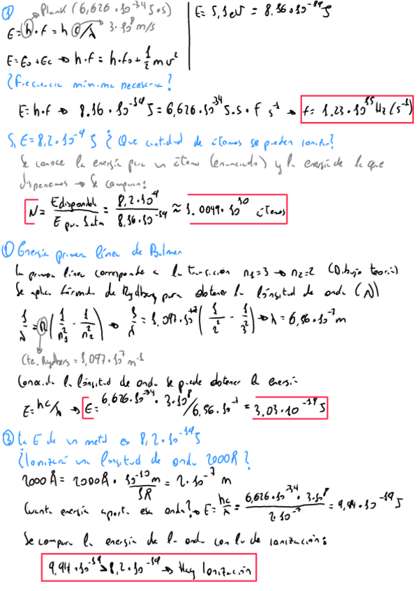
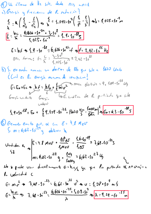
He publicado nuevos apuntes de 2º Química: ejercicios-del-tema-de-fisica-cuantica.pdf

3 páginas

Ejercicios dificiles de isometrica y caballera (si te sale esto sacas un 10)

17 páginas

He publicado nuevos apuntes de 2º Matemáticas II: ejercicios-analisis-clm.pdf

9 páginas

apuntes

-

Figuras y ejercicios

He publicado nuevos apuntes de 3º Aerodinámica: Figuras y ejercicios

ejercicios-parcial-1.pdf
ejercicios-parcial-2.pdf
figuras-parcial-1.pdf
figuras-parcial-2.pdf
resumen-figuras-parcial-2.pdf