@Danii_lp_

26 Publicaciones

738 Interacciones

0 Seguidores

0 Siguiendo

Lista de publicaciones de Danii_lp_

ejercicios

-

SEMINARIOS FISIOLOGÍA ANIMAL

He publicado nuevos ejercicios de 4º Fisiología Animal: SEMINARIOS FISIOLOGÍA ANIMAL

Sistema-nervioso-no-hay-gran-cosa.pdf
PRACTICA-OSMORREGULACION.pdf
Sistema-circulatorio.pdf

ejercicios

-

SEMINARIOS DEG. QUÍMICA

He publicado nuevos ejercicios de 3º Degradación y Conservación de Suelos: SEMINARIOS DEG. QUÍMICA

Seminario-2.pdf
SEMINARIO-1.pdf
Seminario-3.pdf

He publicado nuevos apuntes de 3º Degradación y Conservación de Suelos: Formulas-Deg.fisica.pdf

2 páginas

apuntes

-

Seminarios Deg.Física

He publicado nuevos apuntes de 3º Degradación y Conservación de Suelos: Seminarios Deg.Física

Seminario-Eucalipto.pdf
SEMINARIO-2-DIBUJO-USOS-DISTINTOS.pdf

He publicado nuevos ejercicios de 3º Contaminación del Medio y su Evaluación: calculos-aguas-trabajo.pdf

5 páginas

ejercicios

-

EJERCICIOS ATMÓSFERA

He publicado nuevos ejercicios de 3º Contaminación del Medio y su Evaluación: EJERCICIOS ATMÓSFERA

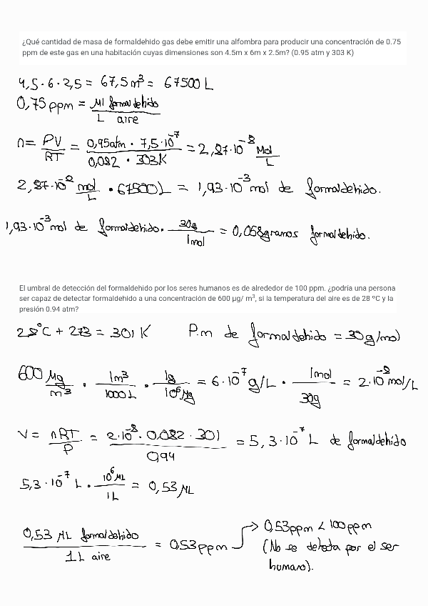
Cinetica-de-reacciones-atmosfera.pdf
Ejercicios-1-Atmosfera.pdf
Ejercicios-2-Atmosferas.pdf

He publicado nuevos ejercicios de 3º Contaminación del Medio y su Evaluación: CME-EDAFO-EJERCICIOS.pdf

3 páginas

He publicado nuevos ejercicios de 3º Contaminación del Medio y su Evaluación: SEMINARIO-AGUAS.pdf

4 páginas

He publicado nuevos apuntes de 3º Políticas y Gestión Ambiental en la Administración y en los Sectores Productivos: Seminario-2-politicas.pdf

3 páginas

ejercicios

-

BIA Ejercicios resueltos

He publicado nuevos ejercicios de 3º Bases de Ingeniería Ambienta: BIA Ejercicios resueltos

TEMA 4.pdf
EJERCICIOS-EXTRA-TEMA-4-BIA.pdf
TEMA 1.pdf
TEMA 2.pdf
TEMA 3.pdf
TEMA 7.pdf