@daniL16

19 Publicaciones

1.09k Interacciones

1 Seguidores

0 Siguiendo

Lista de publicaciones de daniL16

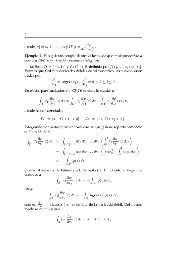
He publicado nuevos apuntes de 2º Ecuaciones Diferenciales I: ED1L3.pdf

22 páginas

He publicado nuevos apuntes de 3º Algebra Iii: examen-1.pdf

4 páginas

He publicado nuevos apuntes de 2º Ecuaciones Diferenciales I: ED1L1.pdf

37 páginas

He publicado nuevos apuntes de 2º Ecuaciones Diferenciales I: ED1L2.pdf

36 páginas

He publicado nuevos examenes de 3º Topología Ii: IMG-20160109-WA0000.jpg

Imagen

He publicado nuevos examenes de 3º Topología Ii: AhsRL0eiMtKhPQ8MWfzT7yyqFJ1JZCm2SRPdCzFWK4qn.jpg

Imagen

He publicado nuevos ejercicios de 3º Variable Compleja I: VC-EResueltos.pdf

154 páginas

examenes

-

Examenes Analisis Matematico 2

He publicado nuevos examenes de 2º Análisis Matemático II: Examenes Analisis Matematico 2

IMG-20140613-WA0001.jpg
IMG-20140613-WA0009.jpg
IMG-20150421-WA0000.jpg
IMG-20150604-WA0000.jpg
IMG-20150612-WA0000.jpg

He publicado nuevos apuntes de 2º Modelos Matemáticos I: LaxM.pdf

22 páginas

He publicado nuevos examenes de 2º Modelos Matemáticos I: Prueba2016.pdf

6 páginas

He publicado nuevos examenes de 2º Modelos Matemáticos I: Modelos-Junio2015-Resuelto.pdf

7 páginas

He publicado nuevos examenes de 3º Variable Compleja I: SOL_VC_FEB16.pdf

5 páginas

He publicado nuevos examenes de 3º Variable Compleja I: SOLFEB2015.pdf

6 páginas

He publicado nuevos examenes de 2º Modelos Matemáticos I: Julio2013.pdf

6 páginas

He publicado nuevos examenes de 2º Modelos Matemáticos I: FinalJulio2014Resuelto.pdf

6 páginas