@DANNYEDM

Estudios: Grado en Ingeniería Marítima (UPM) ...Mostrar más

15 Publicaciones

1.06k Interacciones

2 Seguidores

0 Siguiendo

Lista de publicaciones de DANNYEDM

He publicado nuevos apuntes de 1º Informática: Ejercicios-Tema-3n.pdf

20 páginas

He publicado nuevos ejercicios de 1º Informática: Ejercicios-Tema-2n.pdf

22 páginas

He publicado nuevos apuntes de 1º Física II: EXCEL-laboratorio-fisica-II.xlsx

excel

He publicado nuevos apuntes de 1º Física II: Informes-laboratorio-Fisica-II.pdf

39 páginas

He publicado nuevos apuntes de 1º Buques y Artefactos Oceánicos: DEFINICIONES-BUQUES-GLOSARIO.pdf

18 páginas

He publicado nuevos apuntes de 1º Cálculo I: Apuntes-Series-de-Potencias-TEMA-4-Calculo-I.pdf

10 páginas

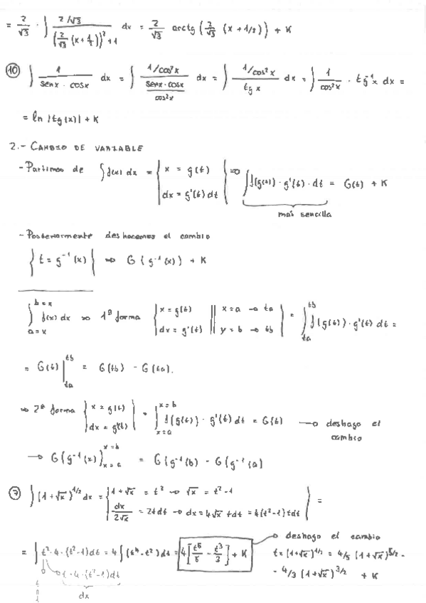
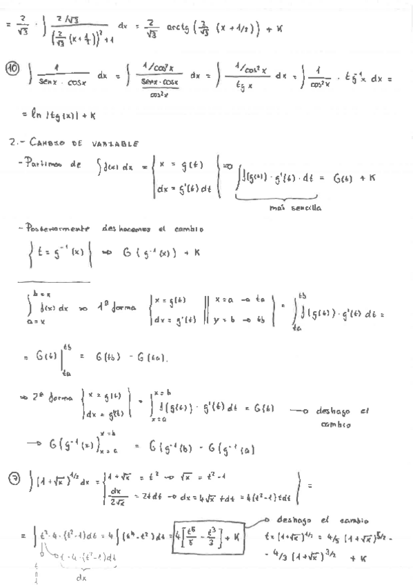
He publicado nuevos apuntes de 1º Cálculo I: Integrales - TEMA 3 Cálculo I

22 páginas

He publicado nuevos apuntes de 1º Álgebra Lineal y Geometría: Apuntes-Algebra-19-20.pdf

106 páginas

apuntes

-

Informes laboratorio Física I

He publicado nuevos apuntes de 1º Física I: Informes laboratorio Física I

Informes-laboratorio-Fisica-I.pdf

He publicado nuevos apuntes de 1º Buques y Artefactos Oceánicos: CAPÍTULO 13 – EL PROCESO INDUSTRIAL DEL BUQUE. DISEÑO- CONSTRUCCIÓN Y EXPLOTACIÓN.pdf

16 páginas

He publicado nuevos apuntes de 1º Buques y Artefactos Oceánicos: CAPÍTULO 6 - Nomenclatura de la estructura del casco.pdf

22 páginas

He publicado nuevos apuntes de 1º Buques y Artefactos Oceánicos: CAPÍTULO 5 - Nomenclatura de elementos y equipos.pdf

13 páginas

He publicado nuevos apuntes de 1º Buques y Artefactos Oceánicos: CAPÍTULO 4 - Nomenclatura del buque y su plano de formas.pdf

9 páginas

He publicado nuevos apuntes de 1º Buques y Artefactos Oceánicos: Capitulo 3 - El buque y el medio marino.pdf

18 páginas

Apuntes resumidos de todos los temas que entran en el examen final de Física I.

10 páginas