@Darigod

Bio: Bombarden la ugr

164 Publicaciones

7.69k Interacciones

49 Seguidores

2 Siguiendo

Lista de publicaciones de Darigod

examenes

-

Examenes Prácticas Módulo II

He publicado nuevos examenes de 2º Sistemas Operativos: Examenes Prácticas Módulo II

Examen-SO-Modulo-II-2021.pdf
Examen-SO-Modulo-II-2021-Enero.pdf
Examen-SO-Modulo-II-2024-Luis-Escudero.pdf
Examen-SO-Modulo-II-2019-D3.pdf
Examen-SO-Practicas-2025-B2.pdf
ExamenSOModuloIIPracticas2025.pdf

examenes

-

Examenes Prácticas Prácticas 4-5

He publicado nuevos examenes de 2º Programación y Diseño Orientado a Objetos: Examenes Prácticas Prácticas 4-5

Segundo-Parcial-Practicas-2023.pdf
Segundo-Parcial-Practicas-2022.pdf
Segundo-Parcial-Practicas-2024-Ruby.pdf
Segundo-Parcial-Practicas-2024-Java.pdf

He publicado nuevos apuntes de 2º Sistemas Operativos: Apuntes-SO-Modulo-II.pdf

16 páginas

He publicado nuevos apuntes de 2º Sistemas Operativos: Apuntes-SO-Modulo-I.pdf

11 páginas

He publicado nuevos examenes de 2º Sistemas Concurrentes y Distribuidos: Examen2SCDP3.pdf

9 páginas

He publicado nuevos examenes de 2º Sistemas Concurrentes y Distribuidos: Examen-SCD-P3-Resuelto--Enunciado.pdf

10 páginas

He publicado nuevos examenes de 2º Sistemas Operativos: ExamenSO.pdf

11 páginas

He publicado nuevos examenes de 2º Sistemas Concurrentes y Distribuidos: ExamenP1-2SCDE2.pdf

15 páginas

He publicado nuevos examenes de 2º Estructura de Datos: Prueba-Laboratorio-SetMap-B1.pdf

5 páginas

He publicado nuevos apuntes de 2º Estructura de Datos: Prueba-Laboratorio-SetMap-A1.pdf

3 páginas

He publicado nuevos examenes de 2º Estructura de Datos: Prueba-Laboratorio-SetMap-C1.pdf

3 páginas

He publicado nuevos examenes de 2º Sistemas Concurrentes y Distribuidos: Examen3SCDP2.pdf

13 páginas

He publicado nuevos ejercicios de 2º Sistemas Operativos: EjemploEjercicioPlanificacionLinux.pdf

3 páginas

He publicado nuevos ejercicios de 2º Sistemas Operativos: PreguntastipoexamenLeonSalas.pdf

11 páginas

He publicado nuevos examenes de 2º Sistemas Concurrentes y Distribuidos: Examen2-P2.pdf

17 páginas

examenes

-

Examen_1 P2

He publicado nuevos examenes de 2º Sistemas Concurrentes y Distribuidos: Examen_1 P2

CdigoCompletoEj2.pdf
CdigocompletoEj1.pdf
ExamenSCDP2.pdf

examenes

-

Parciales prácticas 1-3 PDOO

He publicado nuevos examenes de 2º Programación y Diseño Orientado a Objetos: Parciales prácticas 1-3 PDOO

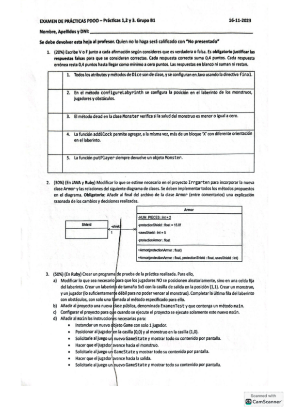
Examen-PDOO-practica-1-2024.pdf
Examen-PDOO-practica-1-2021.pdf
Examen-PDOO-practica-1-2023.pdf
Examen-Practicas-2023-Modificacion-Irrgarten.pdf
Examen2-PDOO-practica-1-2023.pdf

He publicado nuevos examenes de 2º Sistemas Operativos: PrimerParcialSO2017.pdf

11 páginas

He publicado nuevos examenes de 2º Estructura de Datos: Examen-Listas-B1-Solucion.cpp

Miniatura no disponible

He publicado nuevos apuntes de 2º Sistemas Operativos: SOTema2-Bibliografia-completo.pdf

64 páginas