@David316

31 Publicaciones

2.68k Interacciones

0 Seguidores

0 Siguiendo

Lista de publicaciones de David316

He publicado nuevos examenes de 2º Bases de Datos: BD-Examen-practico.pdf

5 páginas

He publicado nuevos practicas de 2º Bases de Datos: P6.sql

He publicado nuevos apuntes de 2º Sistemas Inteligentes: Resumen-Clips.pdf

17 páginas

test

-

Test temas

He publicado nuevos test de 3º Ingeniería Sistemas Software basados en conocimiento: Test temas

3 - Evolución histórica de la Ingeniería del Conocimiento.pdf
7 - Modelo del diseño.pdf
1 - Introducción a la inteligencia Artificial.pdf
2 - Introducción a los Sistemas Basados en Conocimiento.pdf

examenes

-

Examenes y parciales

He publicado nuevos examenes de 3º Ingeniería Sistemas Software basados en conocimiento: Examenes y parciales

Parciales.pdf
examenMarzo2016.PNG

test

-

Test examen

He publicado nuevos test de 3º Ingeniería Sistemas Software basados en conocimiento: Test examen

Examen-test1.pdf
Examen-test3.pdf
Examen-test2.pdf

examenes

-

Seguridad Informática

He publicado nuevos examenes de 3º Seguridad Informática: Seguridad Informática

Miniatura no disponible
Seguridad examen.txt
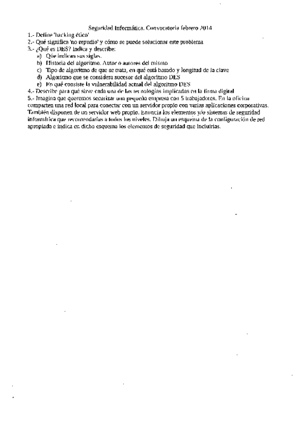
seguridad-informatica-febrero-2014.pdf
EXAMEN SEGURIDAD INFORMATICA(febrero).pdf
EXAMEN DE SEGURIDAD EMILIO MARIN(junio).pdf

He publicado nuevos examenes de 2º Arquitectura de Redes: Examen practico AR.zip

Miniatura no disponible
zip

He publicado nuevos apuntes de 2º Arquitectura de Redes: AR_A_LIMPIO_CON_INDICE.pdf

131 páginas

He publicado nuevos test de 2º Arquitectura de Redes: AR.pdf

5 páginas

apuntes

-

Teoría y preguntas

He publicado nuevos apuntes de 3º Ingeniería de Requisitos: Teoría y preguntas

Traducción Completa IR.pdf
Recopilación preguntas IR.pdf

He publicado nuevos apuntes de 3º Gestión de Sistemas de Archivos y servicios distribuidos: GSASDTeoría.pdf

43 páginas

He publicado nuevos ejercicios de 2º Arquitectura de Redes: boletines.pdf

38 páginas

He publicado nuevos ejercicios de 2º Sistemas Inteligentes: Sistemas Inteligentes.pdf

83 páginas