@Davidhdez_

Bio: Estudiante Ingeniería Informática UPO

8 Publicaciones

197 Interacciones

1 Seguidores

0 Siguiendo

Lista de publicaciones de Davidhdez_

Apuntes del tema de Genética Molecular Biología 2 Bachillerato

9 páginas

Apuntes del tema de La Célula Biología 2 Bachillerato

6 páginas

Apuntes del tema de la Membrana Plasmática Biología 2 Bachillerato

5 páginas

Apuntes del tema de Mutaciones Biología 2 Bachillerato

4 páginas

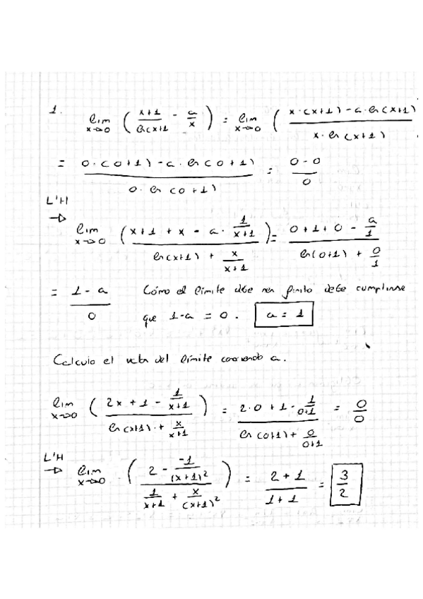
He publicado nuevos ejercicios de 2º Matemáticas II: EJERCICIOS-SELECTIVIDAD-MATEMATICAS-LIMITES.pdf

4 páginas

EJERCICIOS RESUELTOS FÍSICA CINEMÁTICA (MRUA) 1 BACH

9 páginas

EJERCICIOS RESUELTOS FÍSICA CINEMÁTICA (MRU) 1 BACH

8 páginas

Presentación Sobre Fotoperiodo y Fotoperiodismo en las plantas. Biología 1 bachillerato

25 páginas