@davidvaq

Estudios: Grado en Ingeniería Informática (UVA) ...Mostrar más

75 Publicaciones

1.12k Interacciones

0 Seguidores

0 Siguiendo

Lista de publicaciones de davidvaq

He publicado nuevos apuntes de 2º Fundamentos de Inteligencia Artificial: Apuntes-Logica.pdf

7 páginas

practicas

-

Práctica Campos Magnéticos

He publicado nuevos practicas de 1º Física: Práctica Campos Magnéticos

Campo-Magnetico2425enunciado.pdf
camposmagneticosY37.pdf

practicas

-

Práctica Ley de Ohm

He publicado nuevos practicas de 1º Física: Práctica Ley de Ohm

leydeohmY37.pdf
LeyOhm2425enunciado.pdf

practicas

-

Práctica Campos Bidimensionales

He publicado nuevos practicas de 1º Física: Práctica Campos Bidimensionales

Campos-Electricos-Bidimen2425.pdf
camposelectricosbidimensionalesY37.pdf

practicas

-

Práctica RLC Alterna

He publicado nuevos practicas de 1º Física: Práctica RLC Alterna

RLC-alterna2425.pdf
rlcalternaY37.xlsx

examenes

-

Examenes Resueltos 24-25

He publicado nuevos examenes de 1º Física: Examenes Resueltos 24-25

Extraordinario2425Parte1soluciones.pdf
Extraordinario2425Parte2soluciones.pdf
Ordinario2425Parte1soluciones.pdf
Ordinario2425Parte2soluciones.pdf
parcial-1-24-25-soluciones.pdf
Parcial22425resuelto.pdf

apuntes

-

Ejercicios Bonus 24-25

He publicado nuevos apuntes de 1º Física: Ejercicios Bonus 24-25

ProblemabonusT1.pdf
ProblemabonusT2.pdf
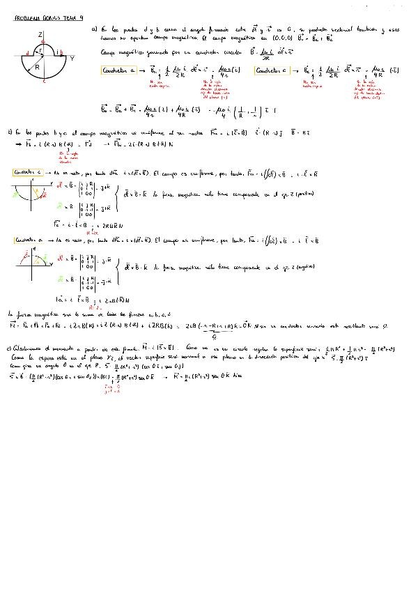
ProblemabonusT4.pdf
ProblemabonusT5.pdf

Resumen Series Numéricas

1 página

practicas

-

Tareas AMAT 24-25

He publicado nuevos practicas de 1º Ampliación de Matemáticas: Tareas AMAT 24-25

Tarea05-curso-24-25.pdf
Tarea06-curso-24-25.pdf

apuntes

-

Examenes

Examenes anteriores AMAT

2122-ExFinales.pdf
2324-ExFinales.pdf

Apuntes capitulo 6 FSO

6 páginas

Apuntes capitulo 7 FSO

5 páginas

He publicado nuevos practicas de 1º Fundamentos de Organización de Empresas: Practica-People-Express.pdf

4 páginas

Un modelo de examen de laboratorio 2 de FPRO

1 página

examenes

-

Exámenes FPRO

He publicado nuevos examenes de 1º Fundamentos de Programación: Exámenes FPRO

EA-2.pdf
Solucion-EA2-2025.pdf
Soluciones-extraordinario-2025.pdf
1o-examen-lab.pdf

examenes

-

Exámenes

He publicado nuevos examenes de 1º Matemática Discreta: Exámenes

ExParcial1O1.pdf
ExParcial1O2.pdf
OrdMD24-25Solucionv3.pdf
P1-soluc.pdf
P1-2-soluc.pdf
Parcial2-2425-O1.pdf

apuntes

-

Presentaciones clase

He publicado nuevos apuntes de 1º Matemática Discreta: Presentaciones clase

1.-Logica-25-09-2024.pdf
2.1-Conjuntos-16-10-2024.pdf
2.2-Combinatoria-16-10-24.pdf
2.3-Recurrencia-16-10-24.pdf
2.4-CjtosInfinitos-29-10-24.pdf
3.-Relaciones-binarias-19-11-24.pdf