@DavidZapatones

15 Publicaciones

470 Interacciones

9 Seguidores

2 Siguiendo

Lista de publicaciones de DavidZapatones

Resumen del tema "Tabla periódica" de Química de 2º de Bachillerato. Veremos el recorrido de la tabla periódica a través de los años, aprenderemos a identificar el grupo y periodo de un elemento a partir de su configuración electrónica. Por último, analiz

13 páginas

Resumen del tema "Estructura Atómica" de Química de 2º de Bachillerato. Recorreremos a través del tiempo los distintos modelos atómicos, veremos los avances que llevaron a la creación del modelo mecano-cuántico actual y estudiaremos las principales leyes

11 páginas

Resumen 100% completo del tema de enlace químico. Repasaremos los tres tipos de enlace (iónico, covalente y metálico), así como sus propiedades. También veremos: - Ciclo de Born-Haber - Lewis: octeto y casos especiales - TRPECV - TEV + hibridación - Geome

14 páginas

Resumen 100% completo de la teoría de Geometría en el espacio de 2º bachillerato. Los apuntes están divididos en 4 secciones: - Vectores - Rectas y planos - Posiciones relativas - Distancias, ángulos y proyecciones

14 páginas

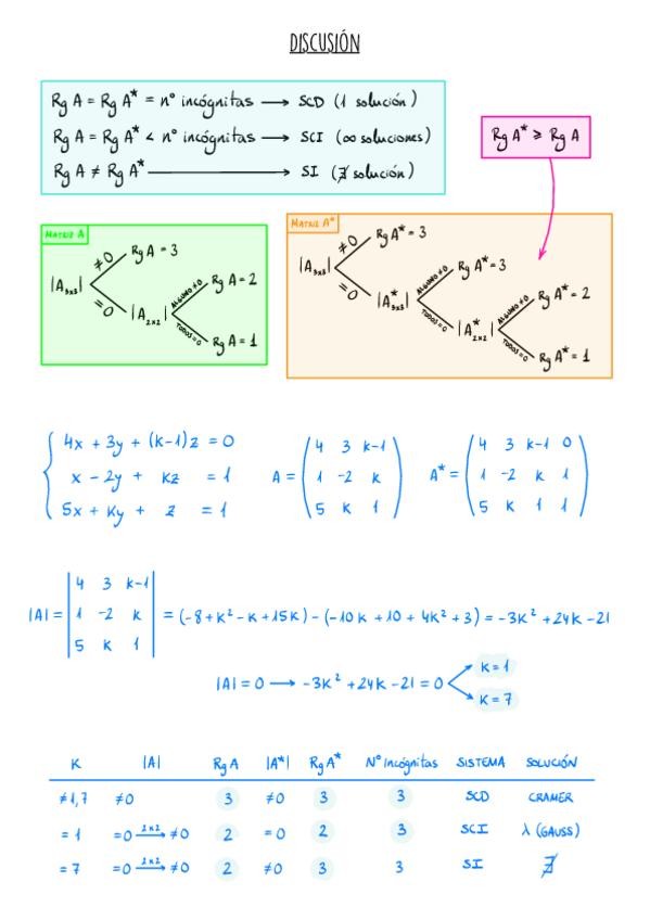
Discusión y resolución de un sistema de 3 ecuaciones con un parámetro. 100% explicado y completo.

7 páginas

Desarrollo detallado de la ley de Gauss para flujo de campo eléctrico creado por distintos cuerpos. Veremos 4 casos: placa plana, cable conductor, exterior de una esfera conductora e interior de la misma. Tal cual lo piden en selectividad.

2 páginas

Tema de Distribuciones de Probabilidad. Todo lo que necesitas saber de teoría, ejemplos prácticos y consejos.

13 páginas

Método de Gauss para discutir y resolver sistemas de 3 ecuaciones con 3 incógnitas.

3 páginas

examenes

-

Paper 3 MAE IB Resueltos

Exámenes resueltos de IB. Asignatura: Matemáticas Análisis y Enfoques (Mathematics Analysis & Approaches) Prueba 3/Paper 3, Nivel Superior (HL), Castellano, Español.

IB-Paper-3-2022-Nov.pdf
IB-Paper-3-2023-May.pdf
IB-Paper-3-2023-Nov.pdf
IB-Paper-3-2024-May.pdf
IB-Paper-3-2024-Nov.pdf

He publicado nuevos apuntes de 1º Matemáticas I: Numeros-Complejos.pdf

20 páginas

examenes

-

2023 Junio Resuelto

Problemas resueltos

A1-Junio-2023-Matematicas-II.pdf