@dayronkings

Estudios: Grado en Ingeniería Química (URJC) ...Mostrar más

11 Publicaciones

374 Interacciones

2 Seguidores

0 Siguiendo

Lista de publicaciones de dayronkings

ejercicios

-

Ejercicios

He publicado nuevos ejercicios de 3º Ingeniería energética y Transmisión de Calor: Ejercicios

Radiacion.pdf
Conveccion.pdf
Cambiadores-de-calor.pdf
Conduccion.pdf

He publicado nuevos examenes de 2º Termodinámica Aplicada: Seminario-1.pdf

6 páginas

He publicado nuevos examenes de 2º Termodinámica Aplicada: Seminario-2-250316191511.pdf

8 páginas

Seminario 2 resuelto

5 páginas

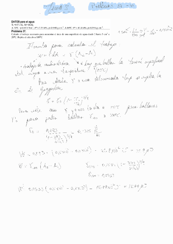
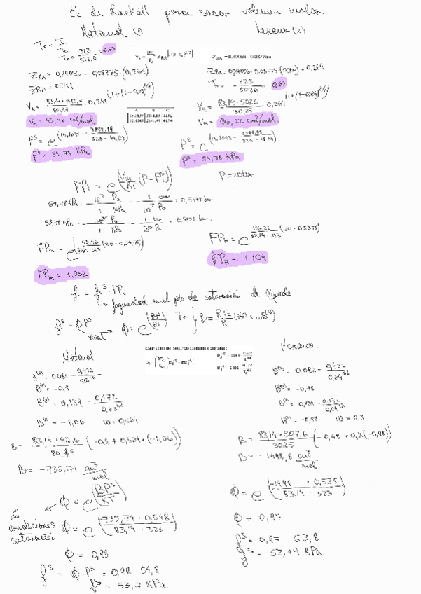
Ejercicios resueltos tema 5 termo

7 páginas

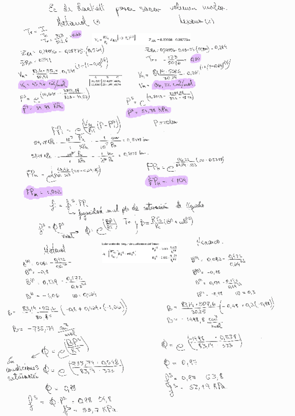
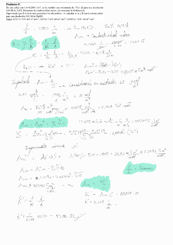
He publicado nuevos ejercicios de 2º Química Física: Temas6-7quifi.pdf

7 páginas

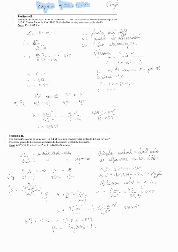
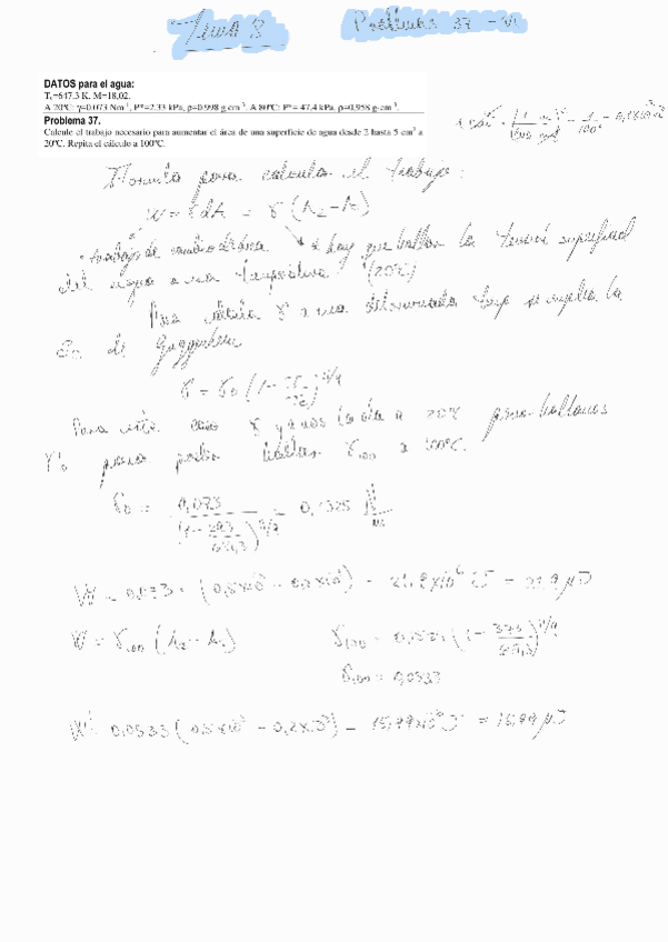
He publicado nuevos ejercicios de 2º Química Física: Tema8quifi.pdf

5 páginas

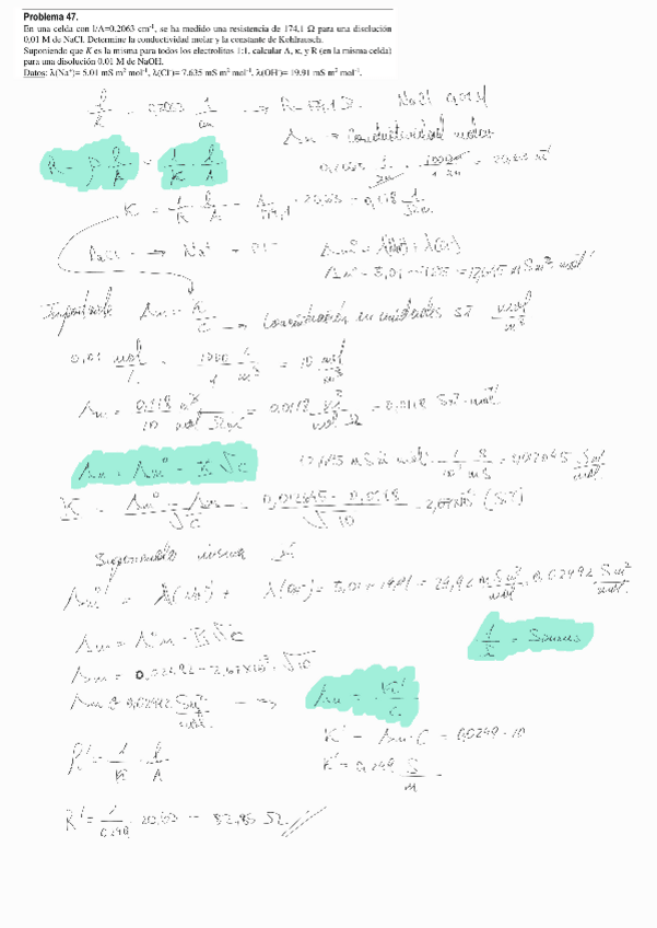
He publicado nuevos ejercicios de 2º Química Física: Temas9-10quifi.pdf

7 páginas