@DEL_PALACIO

26 Publicaciones

2.05k Interacciones

2 Seguidores

0 Siguiendo

Lista de publicaciones de DEL_PALACIO

examenes

-

Problemas Con Solución de Hormigones y Terrenos

He publicado nuevos examenes de 2º Materiales de Construcción II: Problemas Con Solución de Hormigones y Terrenos

SOLUCION CONTROL 4.pdf
SOLUCION CONTROL 5.pdf
SOLUCION CONTROL 6.pdf
SOLUCION CONTROL 7.pdf
SOLUCION PROBLEMAS TERRENOS 2013.pdf

He publicado nuevos examenes de 2º Construcción de Estructuras de Hormigón: EXAMEN ENERO 2012.pdf

3 páginas

examenes

-

2 Problemas Con Solución Granulometría

He publicado nuevos examenes de 2º Materiales de Construcción II: 2 Problemas Con Solución Granulometría

SOLUCION CONTROL 2.pdf
SOLUCION CONTROL 3.pdf

He publicado nuevos examenes de 2º Materiales de Construcción II: segundo parcial.pdf

pdf

He publicado nuevos examenes de 2º Construcción de Estructuras de Hormigón: EXAMEN 9 ENERO 2013 TIPO 2.pdf

2 páginas

He publicado nuevos examenes de 2º Materiales de Construcción II: Preguntas CEMENTOSADITIVOSAGUAARIDOS y MORTEROS.pdf

8 páginas

He publicado nuevos examenes de 2º Construcción de Estructuras de Hormigón: EXAMEN 9 ENERO 2013 TIPO 1.pdf

2 páginas

He publicado nuevos apuntes de 2º Estadística: enero2013.pdf

1 página

Examen resuelto Junio 2015

8 páginas

Examen resuelto Junio 2014

8 páginas

Examen resuelto Julio 2015

5 páginas

Examen resuelto Julio 2014

4 páginas

He publicado nuevos apuntes de 1º Fundamentos de Materiales, Química y Geología: UNIDAD TEMÁTICA 4. PLÁSTICOS.pdf

35 páginas

He publicado nuevos apuntes de 1º Fundamentos de Materiales, Química y Geología: UNIDAD TEMÁTICA 1 REV 1.pdf

45 páginas

He publicado nuevos apuntes de 1º Matemáticas I: UNIDAD 12. INTEGRALES.pdf

61 páginas

He publicado nuevos apuntes de 1º Fundamentos de Materiales, Química y Geología: UNIDAD TEMÁTICA 2.pdf

24 páginas

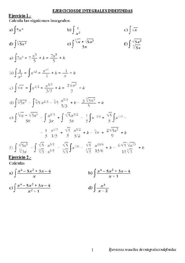
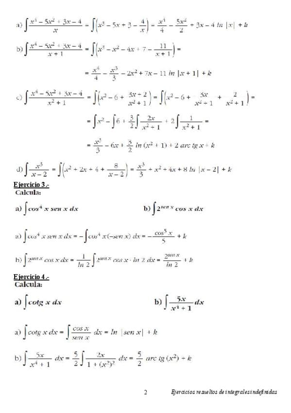
He publicado nuevos ejercicios de 1º Matemáticas I: Integrales Indefinidas - Ejercicios resueltos.pdf

24 páginas

He publicado nuevos apuntes de 1º Matemáticas I: UNIDAD 9. DERIVADAS.pdf

52 páginas

He publicado nuevos ejercicios de 1º Matemáticas I: Cálculo de primitivas.PDF

70 páginas

He publicado nuevos apuntes de 1º Fundamentos de Materiales, Química y Geología: UNIDAD TEMÁTICA 2 bis.pdf

25 páginas