@Delacasa

Estudios: Grado en Ingeniería Química (URJC) ...Mostrar más

98 Publicaciones

921 Interacciones

2 Seguidores

6 Siguiendo

Lista de publicaciones de Delacasa

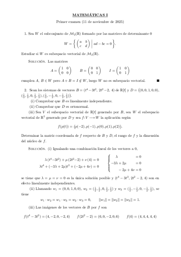
He publicado nuevos apuntes de 1º Matemáticas I: parcial-ALGEBRA-RESUELTO-25-26.PELLO pdf.pdf

4 páginas

He publicado nuevos apuntes de 2º Métodos Matemáticos en Ingeniería Química: ejercicios-+-examen-enero25.pdf.pdf

10 páginas

examenes

-

experi 1

Apuntes+examenes

examenes-resueltos.pdf
resumenes-teoricos-aula-virtual.pdf
formulario.pdf
resumen-teorico-PC-y-TV.pdf

examen 2025

1 página

Sólo de los temas 3 a 8

39 páginas

He publicado nuevos practicas de 2º Administración, dirección de empresas y economía: Subida-de-nota.pdf

3 páginas

He publicado nuevos practicas de 1º Humanidades.: Practica-clase-Quimica.pdf

4 páginas

He publicado nuevos apuntes de 1º Humanidades.: resumenes-lecturas.pdf

9 páginas

apuntes

-

Ejercicios

He publicado nuevos apuntes de 1º Física I: Ejercicios

ejercicios-cinematica.pdf
ejercicios-dinamica.pdf
trabajo-y-Energia.pdf

He publicado nuevos apuntes de 1º Estadística: estadistica-apuntes-II.pdf

11 páginas

He publicado nuevos apuntes de 1º Estadística: estadistica-apuntes-I...pdf

18 páginas

He publicado nuevos apuntes de 1º Expresión Gráfica: Apuntes-Expresión Gráfica.pdf

4 páginas

He publicado nuevos apuntes de 2º Historia de la Ciéncia: PRACTICA-1.pdf

1 página

He publicado nuevos apuntes de 2º Historia de la Ciéncia: PRACTICA-1.-2a-parte.pdf

1 página

He publicado nuevos apuntes de 2º Mineralogía: TEMA-10-11-12-13-MINERALOGIA.pdf

15 páginas

He publicado nuevos apuntes de 2º Mineralogía: TEMAS-7-8-9.pdf

13 páginas

He publicado nuevos apuntes de 2º Mineralogía: TEMA 6.pdf

24 páginas

apuntes

-

temas 1 a 5

He publicado nuevos apuntes de 2º Mineralogía: temas 1 a 5

TEMAS-1-A-5-MINERALOGIA.pdf

apuntes

-

apuntes 2º cuatri

He publicado nuevos apuntes de 1º Geología: apuntes 2º cuatri

Tema-20.-Procesos-Karsticos.pdf
TEMA-19.-PROCESOS-FLUVIALES.pdf
Tema-18.-PROCESOS-EOLICOS.pdf
Tema-17.-Procesos-gravitacionales.pdf
TEMA-16.-METEORIZACION-Y-FORMACION-DE-SUELOS.pdf
Tema-14-geo.pdf