@derechoygap

53 Publicaciones

966 Interacciones

2 Seguidores

0 Siguiendo

Lista de publicaciones de derechoygap

apuntes

-

Formación Histórica del Derecho

He publicado nuevos apuntes de 1º Formación Histórica del Derecho: Formación Histórica del Derecho

TEMA-IV.pdf
TEMA-V.pdf

apuntes

-

Derecho Administrativo III

He publicado nuevos apuntes de 2º Derecho Administrativo III: Derecho Administrativo III

TEMA-2.pdf
TEMA-3.pdf
TEMA-1.pdf
TEMA-4.pdf

He publicado nuevos apuntes de 2º Derecho Administrativo III: TEMA-1.pdf

10 páginas

apuntes

-

Derecho Civil I

He publicado nuevos apuntes de 2º Derecho Civil I: Derecho Civil I

TEMA-5.pdf
TEMA-3.pdf
TEMA-4.pdf
TEMA-1.pdf
TEMA-2.pdf
TEMA-10.pdf

apuntes

-

Introducción a la contabilidad

He publicado nuevos apuntes de 2º Introducción a la Contabilidad: Introducción a la contabilidad

TEMA-2.pdf
TEMA-1.pdf
TEMA-4.pdf
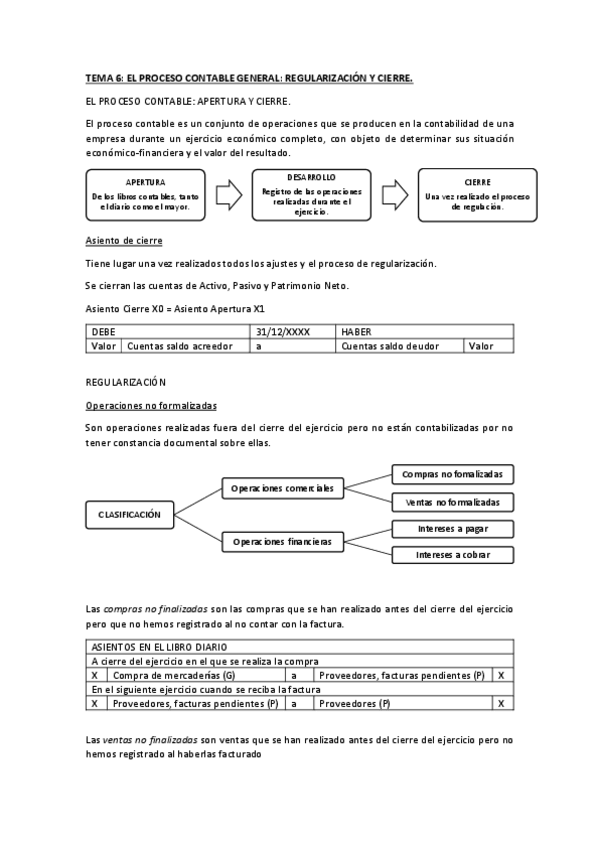
TEMA-6.pdf
TEMA-5.pdf
TEMA-3.pdf

apuntes

-

Derecho Constitucional II

He publicado nuevos apuntes de 2º Derecho Constitucional II: Derecho Constitucional II

TEMA-3.pdf
TEMA-5.pdf
TEMA-4.pdf
TEMA-1.pdf
TEMA-2.pdf
TEMA-8.pdf

apuntes

-

TEMA 2

He publicado nuevos apuntes de 2º Derecho Penal. Parte General: TEMA 2

TEMA-2.pdf

He publicado nuevos apuntes de 2º Derecho Penal. Parte General: TEMA-1.pdf

6 páginas