@desdentado30

Estudios: Grado en Ingeniería Mecánica (UNIZAR) ...Mostrar más

245 Publicaciones

7.53k Interacciones

3 Seguidores

0 Siguiendo

Lista de publicaciones de desdentado30

Apuntes completos de la parte de psicología social de la asignatura

23 páginas

He publicado nuevos apuntes de 3º Mecánica de sólidos deformables: Apuntes MSD ATU.pdf

218 páginas

He publicado nuevos test de 1º Fundamentos de Informática: TEST INFORMATICA.pdf

4 páginas

apuntes

-

Dinamica de sistemas

He publicado nuevos apuntes de 1º Física I: Dinamica de sistemas

dinamica de sistemas (parte I).pdf
dinamica de sistemas (parte II).pdf
dinamica de sistemas (y parte III).pdf

examenes

-

Exámenes con solución

He publicado nuevos examenes de 1º Fundamentos de Informática: Exámenes con solución

Examen Informática 16-6-2011.pdf
ExMecJun_sol_.pdf
exMecJun11_sol.pdf
ExMecJun1112_sol.pdf
exMecSep11_sol.pdf
ExMecSept2013_sol.pdf

examenes

-

Exámenes anteriores

He publicado nuevos examenes de 1º Física I: Exámenes anteriores

ex1C2010.pdf
ex1P2010.pdf
ex1P2011.pdf
ex2C2011.pdf
FI_ex2C2012.pdf
FI_parcialito2012_2013.pdf

apuntes

-

Diapositivas mecanizado

He publicado nuevos apuntes de 3º Tecnologias de fabricacion I: Diapositivas mecanizado

Tema_09_Fundamentos de los procesos de mecanizado.pdf
Tema_10_Herramientas de mecanizado.pdf
Tema_11_Mecanica del corte rev14-15.pdf
Tema_12_Economia de los procesos de mecanizado rev14-15.pdf
Tema_13_Sistemas de fabricacion rev14-15.pdf
Tema_14_Programacion de maquina herramienta rev14-15.pdf

apuntes

-

Temario completo Fdtos. Ingenieria de Materiales

He publicado nuevos apuntes de 2º Tecnología de Materiales: Temario completo Fdtos. Ingenieria de Materiales

Introduccion_Lectura.pdf
TEMA A1.I.pdf
TEMA A1-II.pdf
TEMA A1.III. pdf.pdf
Fractura_lectura_previa_nueva.pdf
TEMA A2.II.DIFUSIONdocx.pdf

He publicado nuevos apuntes de 1º Física II: Tema 3. Campos magneticos estaticos.pdf

32 páginas

examenes

-

Examenes pasados

He publicado nuevos examenes de 1º Física II: Examenes pasados

1CFisII_jun_2014.pdf
1PFisII_2012_2013.pdf
1PFisII_2013_2014.pdf
1PFisII_2013_2014_resuelto.pdf
2CFisII_sep_2013.pdf
2CFisII_sept_2014.pdf

examenes

-

Exámenes anteriores

He publicado nuevos examenes de 2º Dibujo Industrial: Exámenes anteriores

examen_2004.pdf
Examen_feb2011.pdf
examen_febrero_2012.pdf
examen_julio_2010NO.pdf
examen_septiembre_2012.pdf
febrero_2014.pdf

practicas

-

Informes de prácticas resueltos y guiones

He publicado nuevos practicas de 2º Mecánica de Fluidos: Informes de prácticas resueltos y guiones

INFORME PRÁCTICA 1.pdf
INFORME PRÁCTICA 2.pdf
INFORME PRÁCTICA 3.pdf
INFORME PRÁCTICA 4.pdf
INFORME PRÁCTICA 5.pdf
Práctica1Propiedades_V13.pdf

He publicado nuevos ejercicios de 1º Química: Cuestiones-Problemas 2014-15.pdf

26 páginas

apuntes

-

Diapositivas completas

He publicado nuevos apuntes de 3º Mecánica de sólidos deformables: Diapositivas completas

Leccion1.pdf
leccion2.pdf
leccion3.pdf
Leccion_4.pdf
Leccion5.pdf
Leccion6.pdf

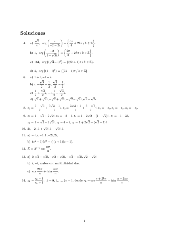
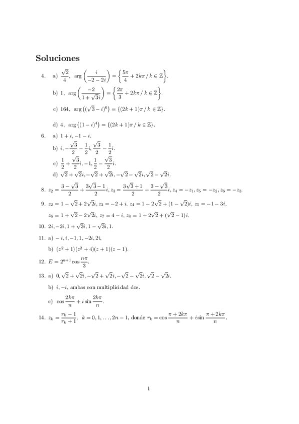
He publicado nuevos apuntes de 1º Matemáticas I: NUMEROS_COMPLEJOS._TEMA_0.pdf

6 páginas

ejercicios

-

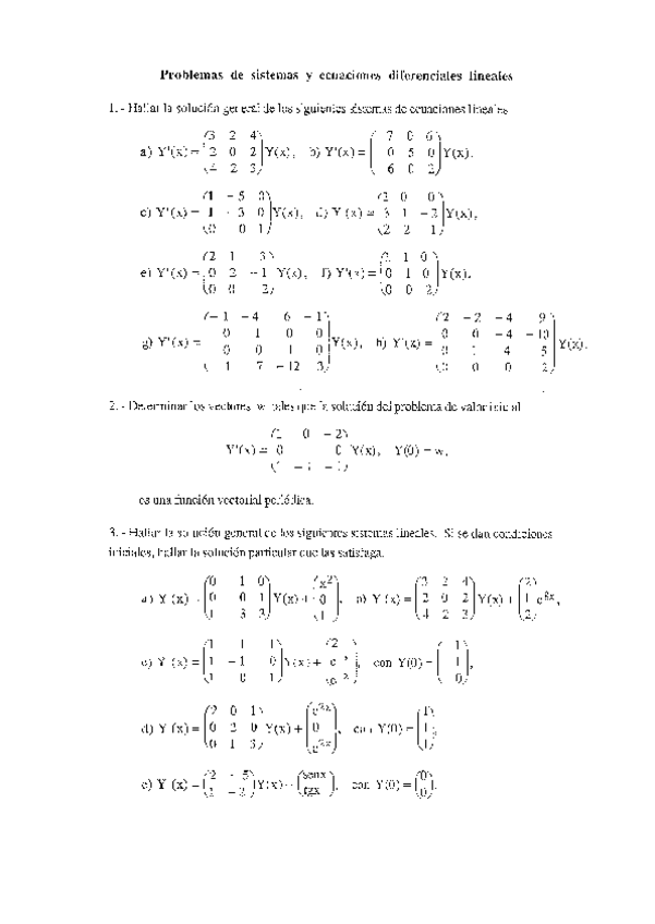
Problemas y resoluciones

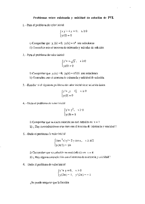
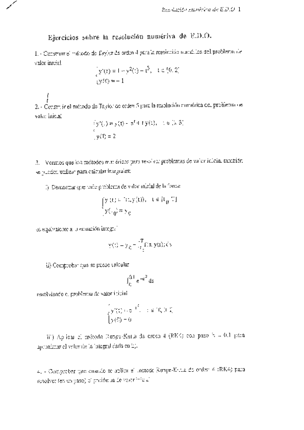
He publicado nuevos ejercicios de 1º Física I: Problemas y resoluciones

algunos problemas de mecánica muy explicados.pdf
CUADERNILLO DE PROBLEMAS FÍSICA I _13_14.pdf
Cuadernillo de problemas Fisica I 14-15.pdf
ejercicio explicado de Estática.pdf
Elasticidad_13_14_ok.pdf
fluidos 2014-2015.pdf

apuntes

-

Temas Teoria

He publicado nuevos apuntes de 2º Termodinámica Técnica y Fundamentos de Transmisión de Calor: Temas Teoria

T2-Propiedades de Sustancias Puras.pdf
T1-Introducción y definiciones básicas.pdf
T3-Primer Principio de Termodinámica y Balances de Energía.pdf
T4-Fundamentos de Psicrometría.pdf
T5-Segundo principio de la Termodinámica. Entropía.pdf
T6-Ciclos de potencia y de refrigeración.pdf

examenes

-

Examenes pasados

He publicado nuevos examenes de 1º Matemáticas II: Examenes pasados

0exam_27junio14solu.pdf
0exam_matiiseptiembre2012.pdf
Examen Matemáticas II 7-2-2013 (2).pdf
Examen Matemáticas II 8-9-2011.pdf
Examen Matemáticas II 20-6-2011.pdf

apuntes

-

Diapositivas calidad

He publicado nuevos apuntes de 3º Tecnologias de fabricacion I: Diapositivas calidad

Tema_0_Concepto_de_fabricacion_y_clasificacion_de_procesos.pdf
Tema_1_Inspeccion_y_metrologia_industrial.pdf
Tema_2_Sistemas y métodos de medida 2T.pdf
Tema_3_Aseguramiento_de_calidad_en_la_medicion.pdf
Tema_4_Calidad.pdf
Tema_5_Gestion_Calidad.pdf

He publicado nuevos practicas de 1º Física I: Prácticas Física I.pdf

26 páginas