@devoracucas

Estudios: Grado en Biotecnología (UCLM) ...Mostrar más

124 Publicaciones

478 Interacciones

3 Seguidores

1 Siguiendo

Lista de publicaciones de devoracucas

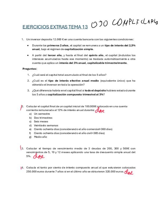
He publicado nuevos ejercicios de 2º Bioquímica Metabólica: actividades-tema-5.pdf

6 páginas

He publicado nuevos ejercicios de 2º Bioquímica Metabólica: cuestiones-tema-4-colesterol.pdf

2 páginas

He publicado nuevos apuntes de 2º Enzimología General y Aplicada: Tema-7.-Regulacion-de-la-actividad-enzimatica.pdf

7 páginas

He publicado nuevos apuntes de 2º Bioquímica Metabólica: Tema-6.-Metabolismo-de-nucleotidos.pdf

7 páginas

He publicado nuevos apuntes de 2º Marcadores Moleculares: Tema-1.-Introduccion-a-los-marcadores-geneticos.pdf

5 páginas

He publicado nuevos apuntes de 2º Enzimología General y Aplicada: Tema-6.-Cinetica-enzimatica-II.pdf

6 páginas

He publicado nuevos apuntes de 2º Bioquímica Metabólica: Tema-4.5.-Metabolismo-del-colesterol.-Lipoproteinas-plasmaticas.pdf

4 páginas

He publicado nuevos apuntes de 2º Bioquímica Metabólica: Tema-5.-Metabolismo-de-aminoacidos-y-ciclo-del-nitrogeno.pdf

10 páginas

He publicado nuevos apuntes de 1º Biología Celular y Tisular: Tema-9.-Tejido-Nervioso..pdf

6 páginas

He publicado nuevos apuntes de 1º Biología Celular y Tisular: Tema-8.-Tejido-Muscular..pdf

8 páginas

He publicado nuevos ejercicios de 2º Ingeniería de procesos biotecnológicos II: Tema-5CyPIPB2.pdf

2 páginas

He publicado nuevos ejercicios de 2º Ingeniería de procesos biotecnológicos II: Tema-3CyPIPB2.pdf

3 páginas

He publicado nuevos apuntes de 2º Ingeniería de procesos biotecnológicos II: Tema-4.-Fundamentos-de-la-transferencia-de-materia.pdf

1 página

He publicado nuevos apuntes de 2º Genética Molecular: Tema-5.-Replicacion-del-ADN-2026.pdf

6 páginas

He publicado nuevos ejercicios de 2º Bioquímica Metabólica: cuestiones-tema-4-lipidos-relacionados-acidos-grasos-1.pdf

5 páginas

He publicado nuevos apuntes de 2º Genética Molecular: Tema-4.-Elementos-moviles 2026.pdf.pdf

9 páginas

He publicado nuevos apuntes de 2º Bioquímica Metabólica: Tema-4.-Metabolismo-de-lipidos-primer-parcial.pdf

19 páginas

He publicado nuevos ejercicios de 2º Bioquímica Metabólica: ACTIVIDADES-TEMA-3-1.pdf

4 páginas

He publicado nuevos apuntes de 2º Enzimología General y Aplicada: Tema-5.-Cinetica-enzimatica-I.pdf

5 páginas

He publicado nuevos apuntes de 2º Bioquímica Metabólica: Tema-3.-Metabolismo-energetico-mitocondrial.-Rutas-centrales-del-metabolismo.pdf

11 páginas