@dgch3

Estudios: Grado en Ingeniería Mecánica (UMH) ...Mostrar más

71 Publicaciones

2.83k Interacciones

7 Seguidores

1 Siguiendo

Lista de publicaciones de dgch3

He publicado nuevos apuntes de 2º Teoría de Sistemas: Apuntes.pdf

27 páginas

He publicado nuevos apuntes de 4º Proyectos: Resumen-Libro-Proyectos.pdf

13 páginas

examenes

-

Exámenes Hormigón Resueltos

He publicado nuevos examenes de 4º Diseño de estructuras y construcciones industriales: Exámenes Hormigón Resueltos

Febrero-2019-Resuelto.pdf
Diciembre-2021.pdf
Diciembre-2018-Resuelto.pdf

He publicado nuevos examenes de 4º Diseño de estructuras y construcciones industriales: Metálicas Septiembre 19 Resuelto

3 páginas

He publicado nuevos examenes de 4º Diseño de estructuras y construcciones industriales: Hormigón Diciembre 2020 Resuelto

3 páginas

examenes

-

Exámenes Metálicas Resueltos

He publicado nuevos examenes de 4º Diseño de estructuras y construcciones industriales: Exámenes Metálicas Resueltos

Enero-20.pdf

examenes

-

Exámenes Resueltos

He publicado nuevos examenes de 1º Estadística y Optimización: Exámenes Resueltos

Junio-2017-UD-1-2-3-Resuelto.pdf
Parcial-2016-Resuelto.pdf

examenes

-

Exámenes Resueltos

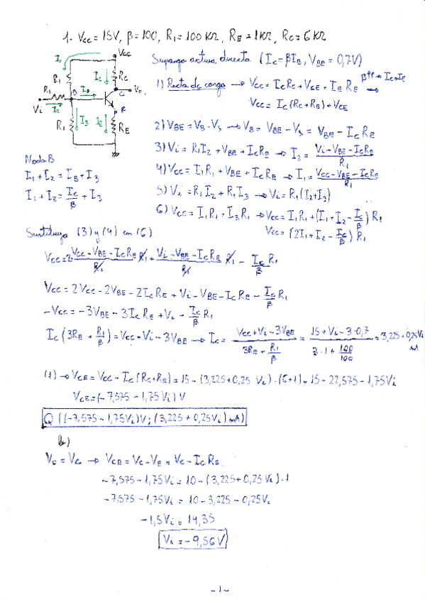
He publicado nuevos examenes de 2º Electrónica General: Exámenes Resueltos

Parcial 1 2020 Resuelto
Parcial 2 2020 Resuelto

He publicado nuevos apuntes de 2º Tecnologías Ambientales y Sostenibilidad: Resumen-Ambientales.pdf

18 páginas

He publicado nuevos ejercicios de 2º Tecnologías Ambientales y Sostenibilidad: Prueba-Evaluacion-Continua-bien.pdf

4 páginas

He publicado nuevos examenes de 2º Mecánica de Fluidos: Parcial-1-2018-Resuelto.pdf

2 páginas

He publicado nuevos examenes de 3º Calor y Frío Industrial: Junio-2015-Problemas-resueltos.pdf

2 páginas

He publicado nuevos examenes de 3º Calor y Frío Industrial: Dic-2021-Problemas-resueltos.pdf

4 páginas

He publicado nuevos examenes de 3º Calor y Frío Industrial: Junio-2021-Resuelto.pdf

5 páginas

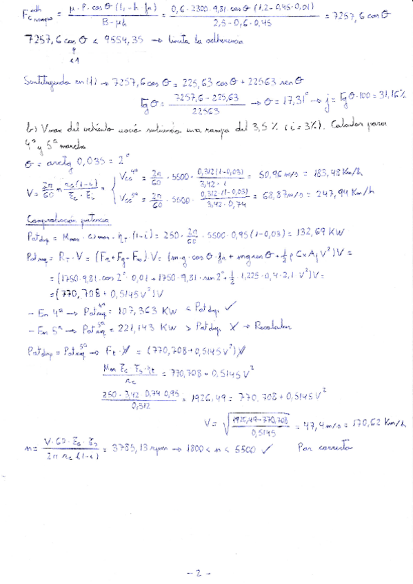
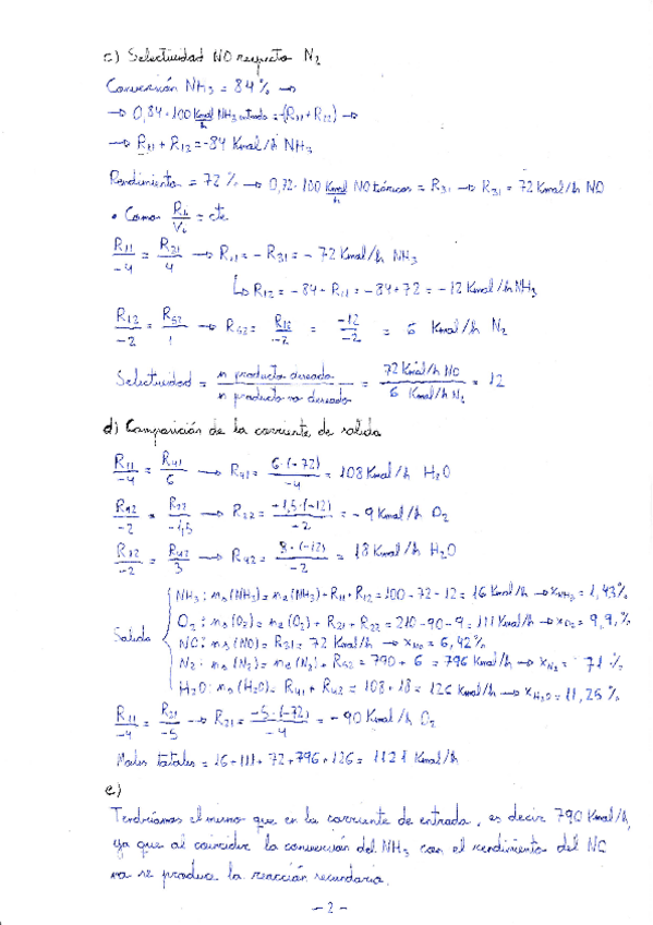
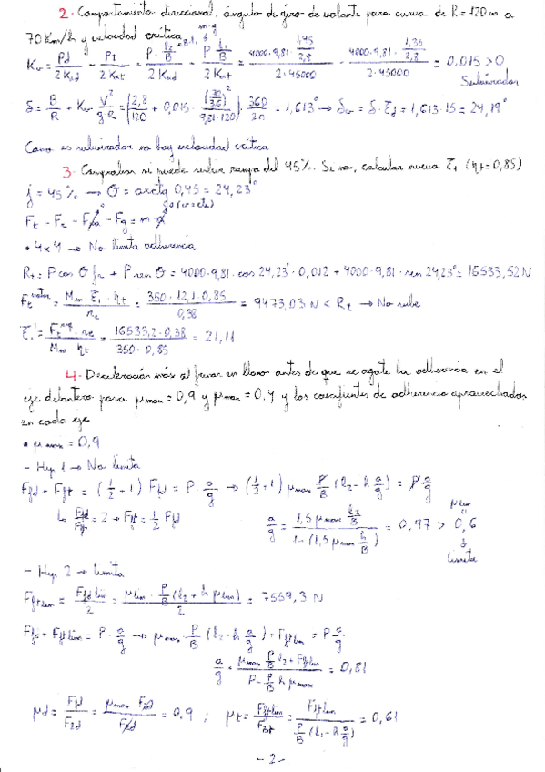
He publicado nuevos examenes de 3º INGENIERÍA DE VEHÍCULOS AUTOMÓVILES: Junio-22-resuelto.pdf

3 páginas

He publicado nuevos examenes de 3º Calor y Frío Industrial: Sep-2021-Problemas-resueltos.pdf

5 páginas

He publicado nuevos examenes de 3º INGENIERÍA DE VEHÍCULOS AUTOMÓVILES: Resolucion-Junio-2020.pdf

3 páginas

He publicado nuevos apuntes de 3º INGENIERÍA DE VEHÍCULOS AUTOMÓVILES: Formulario-Vehiculos.pdf

2 páginas

examenes

-

Exámenes Resueltos

He publicado nuevos examenes de 3º ELASTICIDAD Y TEORÍA DE ESTRUCTURAS: Exámenes Resueltos

ETE-Jun-20-Resuelto.pdf
Septiembre-2020-Resuelto.pdf

ejercicios

-

Tarea 19/20 Resuelta

He publicado nuevos ejercicios de 2º Teoría de Máquinas: Tarea 19/20 Resuelta

Parte-I.pdf
Parte-II.pdf