@Dian9914

13 Publicaciones

1.16k Interacciones

1 Seguidores

0 Siguiendo

Lista de publicaciones de Dian9914

He publicado nuevos apuntes de 1º COMUNICACIONES INDUSTRIALES: parcialenero2024.pdf

2 páginas

practicas

-

Practica 4 20/21

He publicado nuevos practicas de 4º Informática Industrial: Practica 4 20/21

monitorc.pdf
practica4h.pdf
practica4c.pdf
memoria-practica-4.pdf
monitorh.pdf

practicas

-

Practica 3 20/21

He publicado nuevos practicas de 4º Informática Industrial: Practica 3 20/21

monitorc.pdf
practica3c.pdf
memoriapractica3INFI.pdf

He publicado nuevos trabajos de 3º Robótica: MemoriaRoboticaGITIdef.pdf

32 páginas

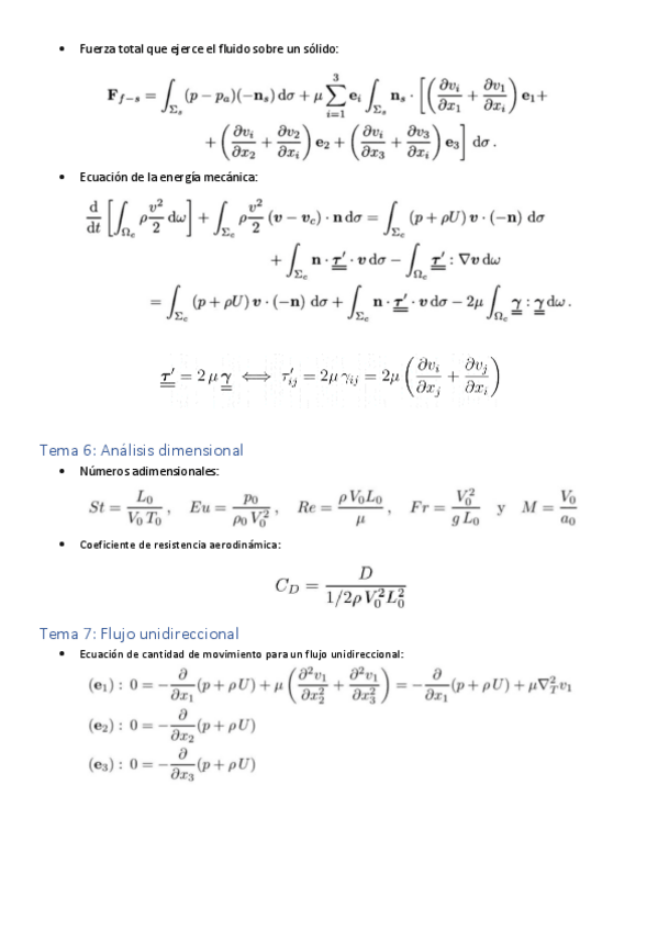
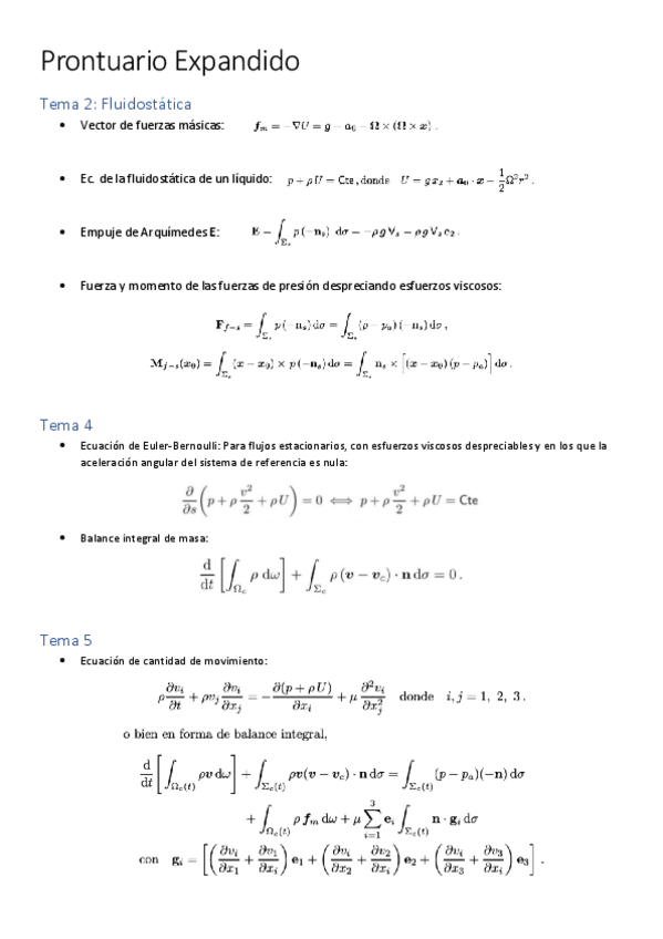
He publicado nuevos apuntes de 2º Fundamentos de Mecánica de Fluidos: Prontuario-Extendido.pdf

5 páginas

He publicado nuevos practicas de 2º Electrónica General: Memoria-Practicas-ESC.pdf

20 páginas

trabajos

-

Primera entrega Robotica

He publicado nuevos trabajos de 3º Robótica: Primera entrega Robotica

MemoriaRoboticaGITIESC.pdf