@Dianams

20 Publicaciones

1.65k Interacciones

2 Seguidores

7 Siguiendo

Lista de publicaciones de Dianams

He publicado nuevos apuntes de 3º Gestión, Conservación y Explotación de Recursos Animales: Preguntas-Animales-Enero-2022.pdf

3 páginas

practicas

-

EPD - Prácticas y excursión

He publicado nuevos practicas de 2º Ecología: EPD - Prácticas y excursión

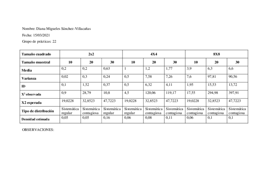
Migueles-Sanchez-Villacanas-Diana-1.xlsx
PRACTICA-2-cuestionario-Migueles-Sanchez-Villacanas-Diana-2.pdf
PRACTICA-1-curso-2020-21-Resultados-Migueles-Diana-2.pdf
PRACTICA-3-curso-2020-21-cuestionario-Diana-Migueles-1.pdf
ECOLOGIA.pdf
PRACTICA-1-curso-2020-21-cuestionario-Migueles-Diana-2.pdf

He publicado nuevos practicas de 2º Hidrologia y Edafologia: Guia-Practica-2-hidro.pdf

36 páginas

He publicado nuevos practicas de 2º Hidrologia y Edafologia: Cuestionario-de-la-excursion-de-Hidrologia-y-Edafologia.pdf

2 páginas

practicas

-

EPD-Prácticas hidrología 1-6

He publicado nuevos practicas de 2º Hidrologia y Edafologia: EPD-Prácticas hidrología 1-6

Practica-621-1.pdf
Ficha-Practica02-DianaMigueles.pdf
Ficha-Practica03.pdf
Practica1hidrologia-DianaMigueles-1.pdf
Practica-5-Hidrologia-y-Edafologia-2012.pdf
Practica4dmigsan.pdf

He publicado nuevos examenes de 1º Física: Examen-Fisica-Junio.pdf

2 páginas

He publicado nuevos examenes de 1º Intervención Social y Educación Ambiental: EXAMEN-ISEA-1a-CONVOCATORIA-wuolah.pdf

3 páginas

He publicado nuevos examenes de 2º Ingeniería Ambiental: Examen-ingenieria-problemas.pdf

1 página

He publicado nuevos test de 2º Hidrologia y Edafologia: Test-edafologia.pdf

1 página

He publicado nuevos apuntes de 1º Biología: Problema-PCR-y-Secuenciacion.pdf

1 página