@Diegodelbarrio

Estudios: Máster en Ingeniería Industrial (UPM) ...Mostrar más

75 Publicaciones

8.07k Interacciones

5 Seguidores

1 Siguiendo

Lista de publicaciones de Diegodelbarrio

examenes

-

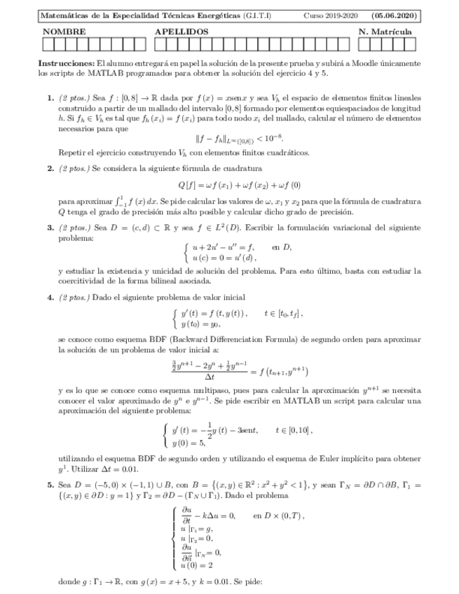
Examen test 2020 (Matlab)

He publicado nuevos examenes de 4º Apuntes Variados: Examen test 2020 (Matlab)

test1.m
test4.m
test3.m
test2.m
test6.m
test7.m

examenes

-

Exámenes 2020

He publicado nuevos examenes de 4º Apuntes Variados: Exámenes 2020

exordinario.pdf
pec2020.pdf

He publicado nuevos apuntes de 4º Apuntes Variados: Apuntes-mates-de-energias-P.pdf

76 páginas

He publicado nuevos apuntes de 2º Ampliación de Cálculo: AC2019-junio-solucion.pdf

9 páginas

He publicado nuevos practicas de 2º Ampliación de Cálculo: practicaAC.pdf

11 páginas

apuntes

-

Entregas 18/19 Lina

He publicado nuevos apuntes de 2º Electromagnetismo: Entregas 18/19 Lina

ent21819sol.pdf
ent4sol.pdf
ent3sol.pdf
ent5sol.pdf
ent1sol.pdf

apuntes

-

Entregas 17/18 Lina

He publicado nuevos apuntes de 2º Electromagnetismo: Entregas 17/18 Lina

ent41718.pdf
ent3c1718.pdf
ent21718.pdf
ent51718.pdf
ent11718.pdf

apuntes

-

Apuntes y ejercicios por temas Jc

He publicado nuevos apuntes de 2º Termodinámica II: Apuntes y ejercicios por temas Jc

Sistemas-abiertos.pdf
Termodinamica-estadistica.pdf
Mezclas.pdf
Diagramas-termodinamicos.pdf
Equilibrio-en-sistemas-multicomponentes.pdf
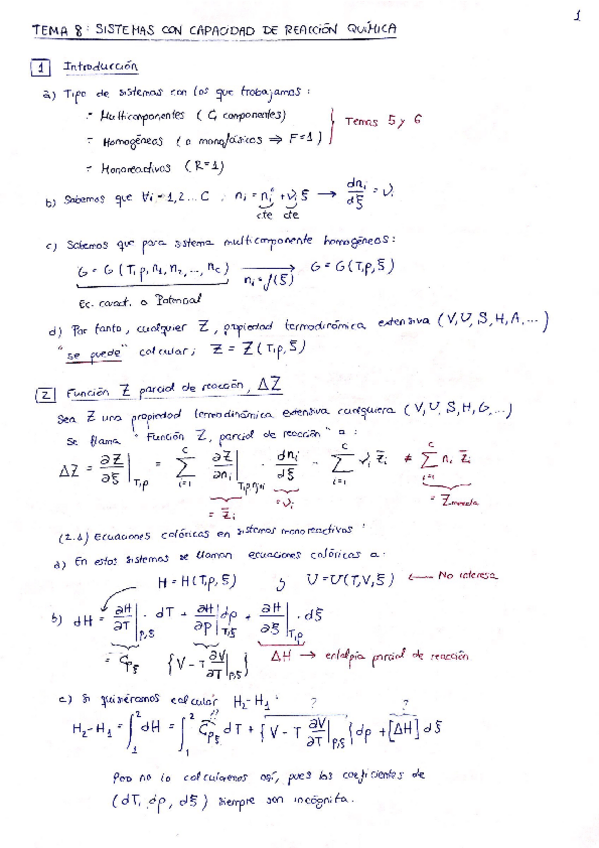
Sistemas-con-capacidad-de-reaccion-quimica.pdf

apuntes

-

Inducción (T4 y T8)

He publicado nuevos apuntes de 2º Electromagnetismo: Inducción (T4 y T8)

T4-emag.pdf
T8-emag.pdf

He publicado nuevos apuntes de 2º Mecánica: intensivo-mecanica-Jc.pdf

47 páginas

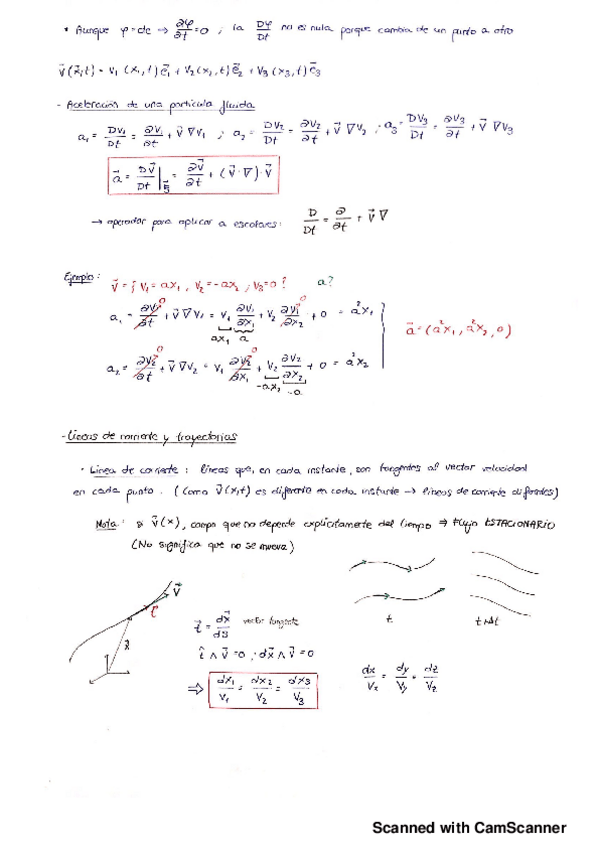
He publicado nuevos apuntes de 3º Mecánica de Fluidos I: teoriaejs-SEGUNDA-PARTE-J.pdf

32 páginas

examenes

-

Ejercicios examen por temas (Jc)

He publicado nuevos examenes de 2º Termodinámica I: Ejercicios examen por temas (Jc)

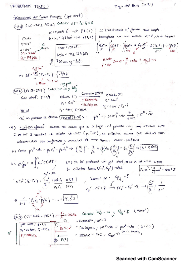
problemas-termo-Jc-PEC1.pdf
ejercicios-examen-potenciales-.pdf
ejercicios-examen-discrepancias-y-fugacidad.pdf
ejercicios-examen-cambio-de-fase.pdf