@diGITAlizada

Bio: 3º! Repitiendo algunas asignaturas para haceros apuntes más bonitos. Apuntes de calidad, recursos y toda la ayuda que pueda daros; fácil, rápido y para toda la familia.

213 Publicaciones

6.46k Interacciones

11 Seguidores

6 Siguiendo

Lista de publicaciones de diGITAlizada

Excel de evaluación del riesgo con UCL95 y RBSL

10 páginas

He publicado nuevos examenes de 3º Economía Ambiental: Ejercicios-RESUELTOS.pdf

39 páginas

¿Te pierdes buscando el despacho de tu profesor? Mira esto, igual no te aclara mucho más pero algo es algo

15 páginas

ejercicios

-

bloque 2

reactores, balances y absorción

reactores-RESUELTOS.pdf
reactores-chuleta.pdf

He publicado nuevos apuntes de 2º Ingeniería Química: reactores.pdf

15 páginas

He publicado nuevos examenes de 3º Tecnología y Métodos para la Gestión de Residuos Industriales: enunciados-global-enero-2025.pdf

2 páginas

He publicado nuevos examenes de 2º Microbiología: Conceptos-2o-parcial-202425.pdf

1 página

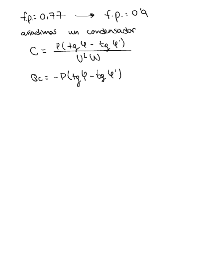
He publicado nuevos practicas de 2º Electrotecnia: 4.jpeg

Imagen

Problemas de crecimiento microbiano,

5 páginas

Rosa

3 páginas

Variables y Vectores aleatorios

1 página

Mi examen corregido con notas

14 páginas

He publicado nuevos test de 3º Tecnología y Métodos para la Gestión de Residuos Industriales: Industria-Cervecera-Cerveza.pdf

2 páginas

He publicado nuevos apuntes de 2º Electrotecnia: Clases 2023.pdf

168 páginas

He publicado nuevos examenes de 2º Estadística Aplicada: RESUELTO-JULIO-2023.pdf

6 páginas

He publicado nuevos apuntes de 3º Ecología Industrial: Temas-para-examen-final.pdf

25 páginas

Os dejo un curso de Probabilidad online gratis: https://learning.edx.org/course/course-v1:PurdueX+416.1x+3T2018/home

ejercicios

-

COMPLETOS y RESUELTOS

hechos en clase algunos

Sistemas-Abiertos-T4.pdf
Sustancias-Puras-T5.pdf

He publicado nuevos examenes de 2º Hidrología: hidrología de superficie SOLUCIONES (2022y23).pdf

6 páginas

ejercicios

-

RESUELTOS de EXAMENES (por temas)

He publicado nuevos ejercicios de 1º Física II: RESUELTOS de EXAMENES (por temas)

ondas t1.pdf
campo-electrico t2.pdf
circuitos t3.pdf
campos-magneticos-t5.pdf
optica-t6.pdf
electromagnetismo-t4.pdf