@DrEstudio

18 Publicaciones

253 Interacciones

2 Seguidores

0 Siguiendo

Lista de publicaciones de DrEstudio

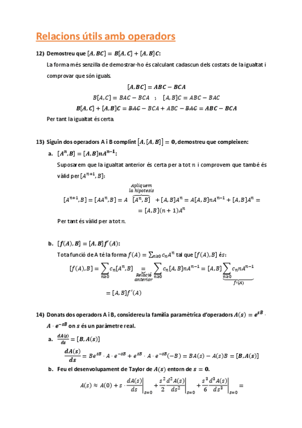
He publicado nuevos apuntes de 2º Métodos Matemáticos para la Física i: Problemes-V.pdf

23 páginas

He publicado nuevos apuntes de 2º Métodos Matemáticos para la Física i: Problemes-probabilitat.pdf

19 páginas

He publicado nuevos apuntes de 2º Métodos Matemáticos para la Física i: Metodes-Matematics-I-2021.pdf

121 páginas

He publicado nuevos apuntes de 4º Física del Estado Sólido: Problemes-Cristallografia-i-difraccio-elastica.pdf

16 páginas

He publicado nuevos ejercicios de 4º Apuntes Variados: Problemes-12-13-14-15.pdf

2 páginas

He publicado nuevos ejercicios de 4º Apuntes Variados: Problemes-7-8-9-10-11.pdf

3 páginas

He publicado nuevos ejercicios de 4º Apuntes Variados: Problemes-II6-II7-II8.pdf

3 páginas

He publicado nuevos ejercicios de 4º Apuntes Variados: Problemes-II1-II2-II3-II4-II5.pdf

4 páginas

He publicado nuevos ejercicios de 4º Apuntes Variados: Problemes-I6-I7-I8-I9.pdf

4 páginas

He publicado nuevos ejercicios de 4º Apuntes Variados: Problemes-I1-I2-I3-I4-I5.pdf

5 páginas

He publicado nuevos ejercicios de 2º Métodos Matemáticos para la Física i: Problemes-19-20-21-i-22.pdf

4 páginas

He publicado nuevos ejercicios de 2º Métodos Matemáticos para la Física i: Problemes-15-16-17-i-18.pdf

3 páginas

He publicado nuevos ejercicios de 2º Métodos Matemáticos para la Física i: Problemes-12-13.pdf

4 páginas

He publicado nuevos ejercicios de 2º Métodos Matemáticos para la Física i: Problemes-9-10-i-11.pdf

2 páginas

He publicado nuevos ejercicios de 2º Métodos Matemáticos para la Física i: Problemes-4-5-6-7-i-8.pdf

3 páginas

He publicado nuevos ejercicios de 4º Apuntes Variados: Problemes-3-5-i-6.pdf

4 páginas

He publicado nuevos ejercicios de 2º Métodos Matemáticos para la Física i: Probabilitat-classica-Problemes-1-2-i-3.pdf

3 páginas

He publicado nuevos ejercicios de 4º Apuntes Variados: Problemes-1-i-2.pdf

6 páginas