@dulsimo

22 Publicaciones

268 Interacciones

3 Seguidores

5 Siguiendo

Lista de publicaciones de dulsimo

He publicado nuevos apuntes de 4º Prevención de Riesgos Laborales: PRACTICA-1.pdf

2 páginas

He publicado nuevos apuntes de 4º Prevención de Riesgos Laborales: Tema-1-Apuntes.pdf

8 páginas

He publicado nuevos ejercicios de 2º Matemática Financiera: task-unit-1.pdf

2 páginas

apuntes

-

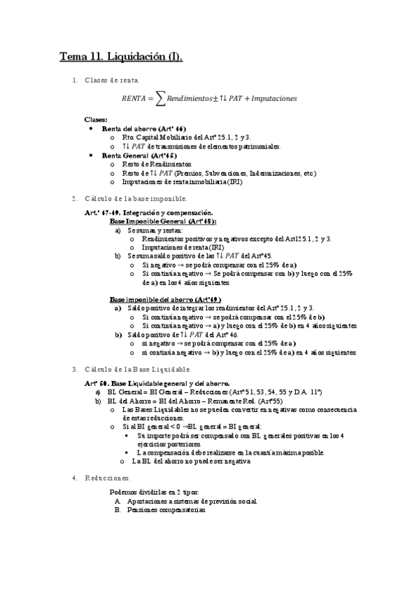
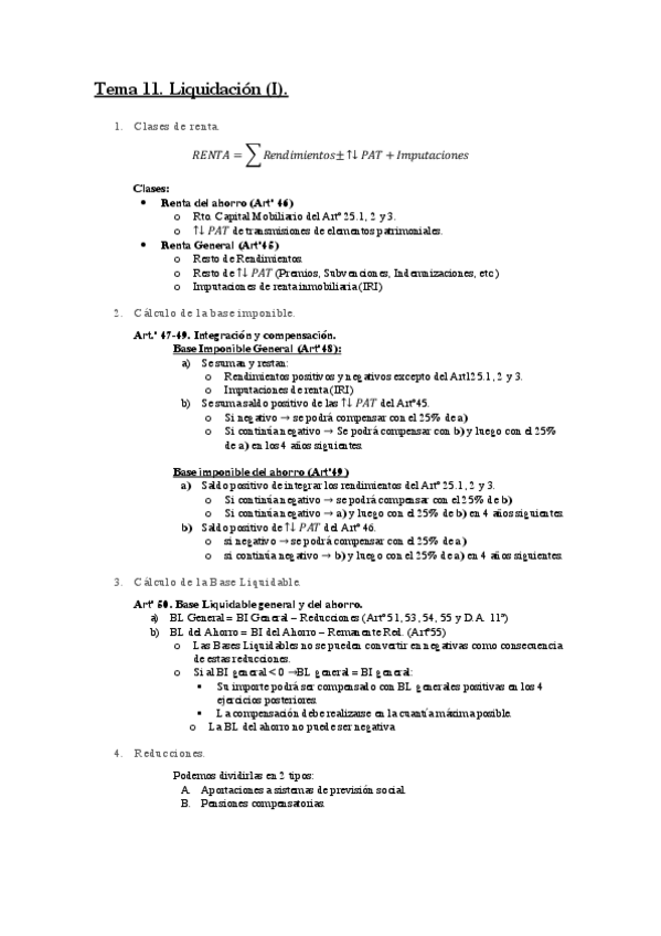
Temas 10-11-12-13 Intro. Fiscalidad

He publicado nuevos apuntes de 2º Introduccion a la Fiscalidad: Temas 10-11-12-13 Intro. Fiscalidad

Tema-13-fiscalidad.pdf
Tema-10-ganancias-y-perdidas-patrimoniales.pdf
Tema-11-fiscalidad.pdf
Tema-12-fiscalidad.pdf

apuntes

-

Temas 5-6-7-8-9 Intro Fiscalidad

He publicado nuevos apuntes de 2º Introduccion a la Fiscalidad: Temas 5-6-7-8-9 Intro Fiscalidad

TEMA-6-fiscalidad.pdf
Tema-5-fiscalidad.pdf
Tema-8-fiscalidad.pdf
Tema-9-metodo-estimacion-objetiva.pdf
Tema-7-fiscalidad.pdf

apuntes

-

Temas 2-3-4 Intro a la fiscalidad

He publicado nuevos apuntes de 2º Introduccion a la Fiscalidad: Temas 2-3-4 Intro a la fiscalidad

Tema-2-IMPUESTOS.pdf
Tema-3-fiscalidad.pdf
Tema-4-FISCALIDAD.pdf

He publicado nuevos apuntes de 1º Derecho Mercantil I: Derecho-mercantil-MANUAL-HECHO-POR-ESTUDIANTES.pdf

101 páginas

He publicado nuevos apuntes de 1º Microeconomía: Microeconomics.pdf

25 páginas

He publicado nuevos apuntes de 1º Fundamentos de Dirección de Empresas: Intro-to-Business-Management-NOTES.pdf

49 páginas

He publicado nuevos apuntes de 1º Introducción a la Economía: Intro-to-economics.docx

word

He publicado nuevos apuntes de 1º Contabilidad Financiera: Introduction-to-Accounting.docx

word

apuntes

-

Apuntes ARA Intro to BMA

He publicado nuevos apuntes de 1º Incorporacion a los Estudios de Ade: Apuntes ARA Intro to BMA

motivation-in-organisations.docx
Intro-to-BMA-Resumen-libro.docx