@E_Engineer

17 Publicaciones

314 Interacciones

3 Seguidores

0 Siguiendo

Lista de publicaciones de E_Engineer

He publicado nuevos apuntes de 2º Elasticidad y Resistencia de Materiales I: FormularioVigas-250512.pdf

16 páginas

He publicado nuevos apuntes de 1º Ecuaciones Diferenciales: FORMULACION.pdf

3 páginas

apuntes

-

Preguntas Test Resueltas física II

He publicado nuevos apuntes de 1º Física II: Preguntas Test Resueltas física II

Preguntas-Test-Resueltas-fisica-II.pdf

apuntes

-

Fundamentos químicos de la ingeniería

He publicado nuevos apuntes de 1º Fundamentos Químicos de la Ingeniería (I.eléctrica / I. Electrónica): Fundamentos químicos de la ingeniería

RECOPILACION-TEORIA.pdf
RECOPILACION-EXAMENES-EJERCICIOS.pdf
EQUILIBRIO-RESUELTOS.pdf

He publicado nuevos apuntes de 1º Mecánica: ResumenMecanica.pdf

69 páginas

examenes

-

Exámenes resueltos (2009-2020)

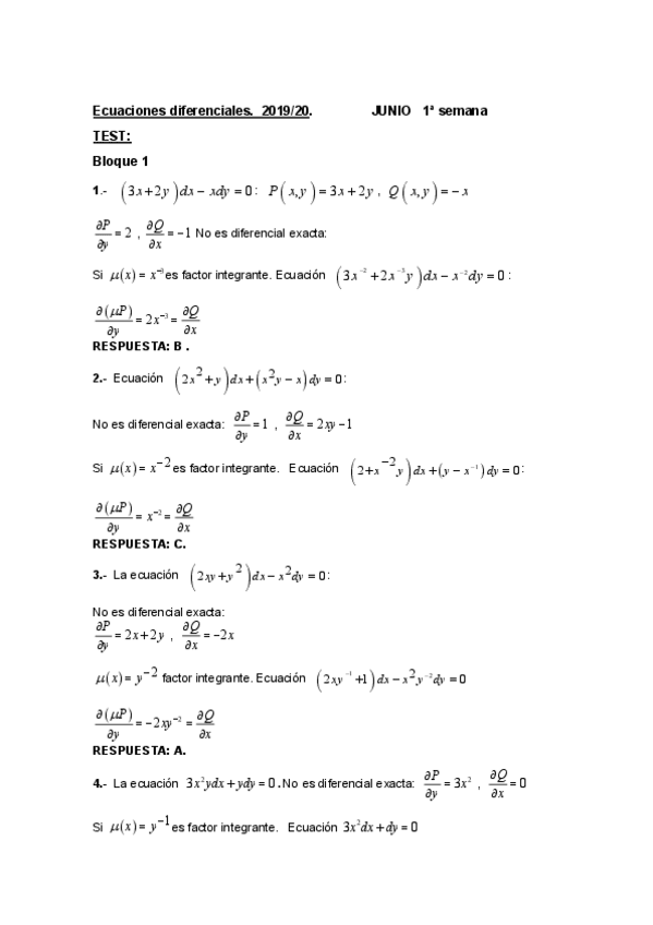
He publicado nuevos examenes de 1º Ecuaciones Diferenciales: Exámenes resueltos (2009-2020)

ED20192020.pdf
ED2016-2017.pdf
ED2015-2016.pdf
ED2012-13.pdf
ED2011-12.pdf
ED2014-2015.pdf