@ebauparatodos

Bio: Te ayudo a aprobar con buena nota los exámenes de acceso a la universidad EBAU de La Rioja.

36 Publicaciones

573 Interacciones

3 Seguidores

0 Siguiendo

Lista de publicaciones de ebauparatodos

apuntes

-

formularios todos temas

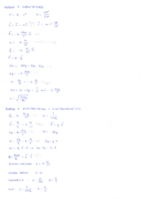
He publicado nuevos apuntes de Física: formularios todos temas

F-FISICA-MODERNA.pdf
F-OPTICA.pdf
F-TEMA-1.pdf
F-TEMA-2.pdf
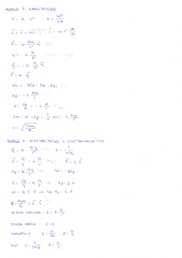
F-TEMA-4.pdf
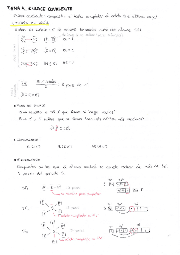
F-TEMA-5.pdf

He publicado nuevos apuntes de Física: FORMULARIO-GENERAL-2do.pdf

2 páginas

apuntes

-

apuntes por temas

He publicado nuevos apuntes de Física: apuntes por temas

TEMA-1.pdf
TEMA-2.pdf
TEMA-3.pdf
TEMA-4.pdf
TEMA-5.pdf
TEMA-6.pdf

He publicado nuevos apuntes de Física: BLOQUE-III.-ONDAS.pdf

7 páginas

He publicado nuevos apuntes de Física: BLOQUE-IV.-LUZ-Y-OPTICA-GEOMETRICA.pdf

4 páginas

He publicado nuevos apuntes de Física: BLOQUE-I.-GRAVITATORIO.pdf

3 páginas

He publicado nuevos apuntes de Física: BLOQUE-II.-ELOECTROMAGNETISMO.pdf

7 páginas

He publicado nuevos apuntes de Historia de España: APUNTES-HISTORIA-COMPLETOS.pdf

78 páginas

apuntes

-

APUNTES COMPLETOS

He publicado nuevos apuntes de Química: APUNTES COMPLETOS

TEMA-1-ESTRUCTURA-ATOMICA.pdf
TEMA-2-SISTEMA-PERIODICO.pdf
TEMA-3-ENLACE-IONICO-Y-METALICO.pdf
GEOMETRIAS-TRPECV.pdf
TEMA-4-ENLACE-COVALENTE.pdf
TEMA-6-CINETICA-QUIMICA.pdf

He publicado nuevos apuntes de Química: APUNTES-COMPLETOS.pdf

40 páginas