@eco5000

Estudios: Grado en Economía (UV) ...Mostrar más

17 Publicaciones

409 Interacciones

0 Seguidores

1 Siguiendo

Lista de publicaciones de eco5000

apuntes

-

APUNTES TEMARIO CON ANOTACIONES DE MAURO

He publicado nuevos apuntes de 4º Evaluación Económica Pública: APUNTES TEMARIO CON ANOTACIONES DE MAURO

Tema-1.-Introduccion.pdf
Tema-2.-Elementos-fundamentales-en-el-diseno-de-EPP.pdf
Tema-4.-Metodos-de-valoracion-cualitativa.pdf
Tema-5.-Metodos-cuantitativos.pdf

apuntes

-

Resumen española tema 1 al 8

He publicado nuevos apuntes de 3º Economía Española: Resumen española tema 1 al 8

Tema-6.pdf
Tema-1.pdf
Tema-5.pdf
Tema-8.pdf
Tema-4.pdf
Tema-7.pdf

apuntes

-

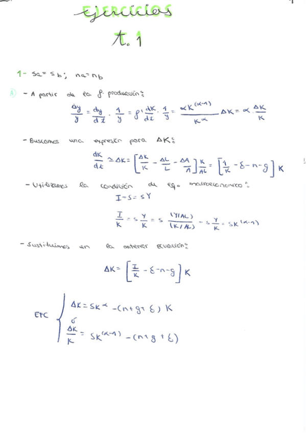
Ejercicios resueltos T.1

He publicado nuevos apuntes de 3º Macroeconomía Dinámica: Ejercicios resueltos T.1

Ejercicos-Tema1.pdf
Practica-T.pdf

apuntes

-

Apuntes

He publicado nuevos apuntes de 3º Macroeconomía Dinámica: Apuntes

Tema-1Macrodinamica.pdf
Tema-2-Macrodinamica.pdf