@EHC00

25 Publicaciones

843 Interacciones

2 Seguidores

0 Siguiendo

Lista de publicaciones de EHC00

He publicado nuevos apuntes de 4º Equipos para Sistemas de Información Multimedia: video.pdf

16 páginas

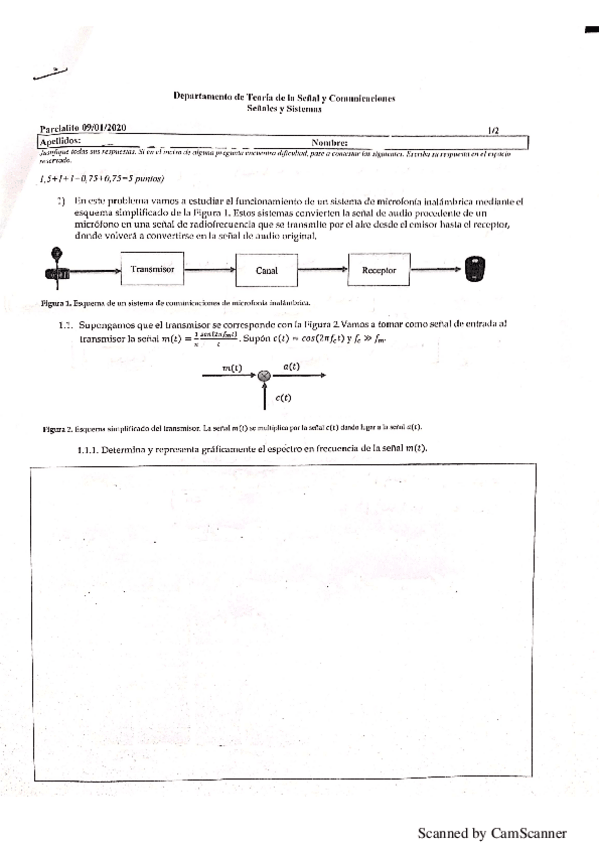
He publicado nuevos examenes de 2º Señales y Sistemas: NuevoDocumento-2020-01-09-20.pdf

4 páginas

examenes

-

Todos los examenes

He publicado nuevos examenes de 1º Matemáticas I: Todos los examenes

2014-2015.pdf
2013-2014.pdf
2016-2017.pdf
2015-2016.pdf
1o-convocatoria-2019.pdf
2017-2018.pdf

He publicado nuevos ejercicios de 1º Tecnología de Dispositivos y Componentes: Ejercicios propuestos tema 4.pdf

2 páginas

He publicado nuevos ejercicios de 1º Tecnología de Dispositivos y Componentes: Ejercicios Propuestos Tema 3.pdf

3 páginas

He publicado nuevos practicas de 1º Fundamentos de Computadores: Todas las practicas computadores.zip

Miniatura no disponible
zip

He publicado nuevos apuntes de 1º Física: relatividad.48.46.pdf

1 página

He publicado nuevos apuntes de 1º Física: resumen campo eléctrico.31.09.pdf

1 página

He publicado nuevos apuntes de 1º Matemáticas II: tema 6.pdf

5 páginas

He publicado nuevos apuntes de 1º Física: NuevoDocumento 2018-12-29 23.32.29.pdf

1 página

He publicado nuevos apuntes de 1º Física: resumen ondas.pdf

2 páginas