@EinAnonymus

Bio: Esto el mercado, amigo.

48 Publicaciones

7.15k Interacciones

1 Seguidores

0 Siguiendo

Lista de publicaciones de EinAnonymus

examenes

-

FORMULARIOS

He publicado nuevos examenes de 3º Fundamentos de Electrónica: FORMULARIOS

RESUMEN-DIODOS.pdf
RESUMEN-OPERACIONALES-DIGITAL.pdf
RESUMEN-TRANSISTORES.pdf

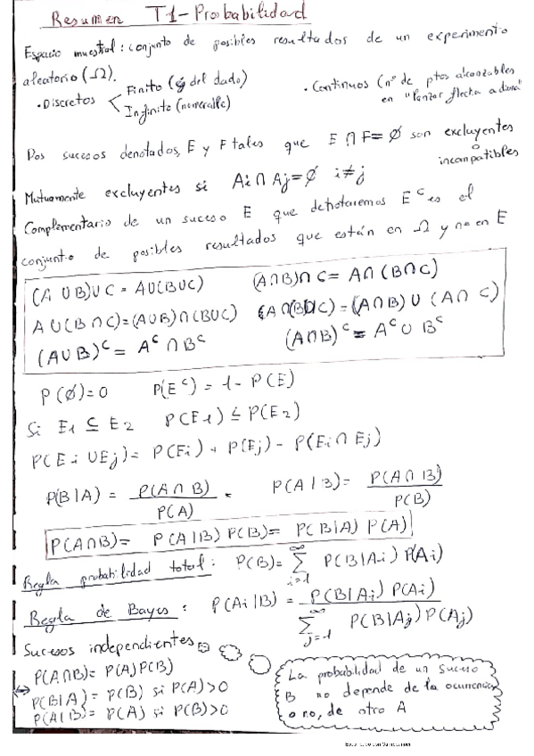
He publicado nuevos apuntes de 1º Estadística: Resumen-Estadistica.pdf

pdf

ejercicios

-

Ejercicios de clase BIEN RESUELTOS

He publicado nuevos ejercicios de 3º Sistemas Eléctricos de Potencia: Ejercicios de clase BIEN RESUELTOS

TEMA-2.pdf
TEMA-3.pdf
TEMA-4.pdf
TEMA-5.pdf
TEMA-6.pdf
TEMA-7.pdf

Con enunciado incluido

pdf

Con enunciado incluido

pdf

He publicado nuevos apuntes de 3º Sistemas Eléctricos de Potencia: Formulario-esquematico-SEP.pdf

pdf

He publicado nuevos apuntes de 2º Criterios de Diseño de Maquinas: Bloque-2-con-ejercicios-tipo.pdf

pdf

He publicado nuevos examenes de 2º Mecánica: Examenes-resultos-Mecanica.pdf

pdf

apuntes

-

TODOS LOS EJERCICIOS (VxP) RESUELTOS

He publicado nuevos apuntes de 2º Mecánica de Fluidos: TODOS LOS EJERCICIOS (VxP) RESUELTOS

VxP-TEMA-2.pdf
VxP-TEMA-3.pdf
VxP-TEMA-4.pdf
VxP-TEMA-5.pdf
VxP-TEMA-6.pdf
VxP-TEMA-7.pdf

He publicado nuevos practicas de 2º Mecánica de Fluidos: Practicas-MecFlu.pdf

pdf

He publicado nuevos examenes de 2º Mecánica: Parcial-Cinematica-2021.pdf

pdf

ejercicios

-

Problemas de clase TEMA 2-9

He publicado nuevos ejercicios de 2º Termodinámica Técnica y Fundamentos de Transmisión de Calor: Problemas de clase TEMA 2-9

TEMAS-8-9.pdf
TEMAS-5-6-ADICIONALES.pdf
TEMAS-2-4.pdf

He publicado nuevos apuntes de 2º Termodinámica Técnica y Fundamentos de Transmisión de Calor: Ficha-resumen.pdf

26 páginas

He publicado nuevos examenes de 2º Termodinámica Técnica y Fundamentos de Transmisión de Calor: Examen-septiembre-2021.pdf

2 páginas

He publicado nuevos examenes de 2º Criterios de Diseño de Maquinas: Problemas-de-examen.pdf

42 páginas

Con enunciados y soluciones

78 páginas

He publicado nuevos trabajos de 2º Fundamentos de Electrotecnia: Problemas-Alterna.pdf

26 páginas

Muy útil para tener una visión general de la asignatura

15 páginas

He publicado nuevos examenes de 2º Fundamentos de ingeniería de materiales: Examen-Enero-2021.pdf

2 páginas

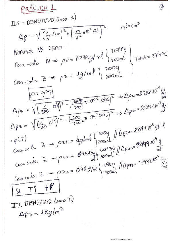
He publicado nuevos practicas de 2º Criterios de Diseño de Maquinas: FICHA-RESUMEN-PRACTICA-1.pdf

6 páginas