@El_Arcangel

Estudios: Grado en Ingeniería Biomédica (UC3M) ...Mostrar más

19 Publicaciones

549 Interacciones

0 Seguidores

0 Siguiendo

Lista de publicaciones de El_Arcangel

apuntes

-

Teoría de Anatomía

He publicado nuevos apuntes de 2º Anatomía y Fisiología: Teoría de Anatomía

sist-nerv-pract-5.pdf
huesos-pract-1.pdf
org-sent-pract-6.pdf
repiratio-pract-4.pdf
Digestivo-pract-3.pdf
Corazon-pract-2.pdf

apuntes

-

Boletines resueltos (temas 1,2,3,4 y 5)

He publicado nuevos apuntes de 1º Física II: Boletines resueltos (temas 1,2,3,4 y 5)

bol1.pdf
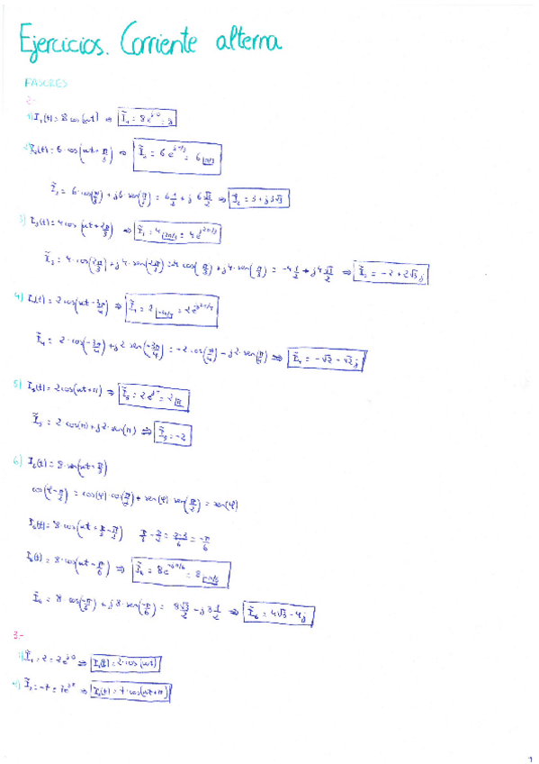
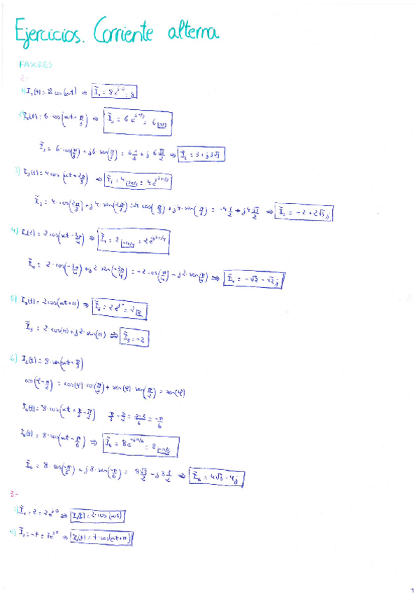
Boletin3-corriente-alterna.pdf
Boletin2-resuelto-corriente-continua.pdf
bol4en19.pdf
Boletin5-resuelto-induccion.pdf
bol5en19.pdf

He publicado nuevos apuntes de 1º Estadística: Teoria-estadisitca.pdf

6 páginas

He publicado nuevos apuntes de 1º Estadística: Examenes-resueltos-2-parcial.zip

Miniatura no disponible
zip

He publicado nuevos apuntes de 1º Estadística: Examenes-resueltos-primer-parcial-.zip

Miniatura no disponible
zip