@elecepe_

31 Publicaciones

1.88k Interacciones

1 Seguidores

5 Siguiendo

Lista de publicaciones de elecepe_

He publicado nuevos ejercicios de 4º Física del Estado Sólido: CuellarPerezEjEvaluacionT4.pdf

8 páginas

Alguien que sepa cómo se hace el ejercicio complementario de multivariante del tema 2? :///

apuntes

-

Informes Prácticas Voluntarias

He publicado nuevos apuntes de 3º Física Computacional: Informes Prácticas Voluntarias

CoeficienteTransmision.pdf
ModeloHopfield.pdf

He publicado nuevos ejercicios de 4º Física del Estado Sólido: CamScanner-12-05-2022-16.pdf

12 páginas

He publicado nuevos apuntes de 4º Física Nuclear y de Partículas: Formulario-ResumenNuclearhastadesintalfa.pdf

15 páginas

He publicado nuevos apuntes de 3º Ecuaciones Diferenciales II: Tema5DependenciaContinuaResumenyEjerciciosPARTE1.pdf

10 páginas

apuntes

-

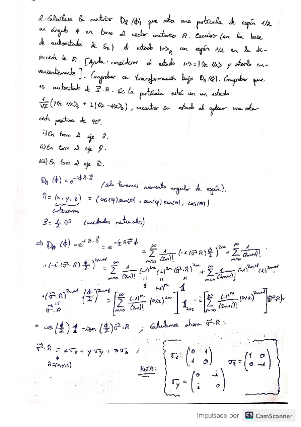
Ejercicios Resueltos Mecánica Cuántica

He publicado nuevos apuntes de 4º Mecánica Cuántica: Ejercicios Resueltos Mecánica Cuántica

CamScanner-12-08-2020-14.pdf
CamScanner-01-07-2021-14.pdf
CamScanner-12-10-2020-12.pdf
EntregaMC.pdf
CamScanner-12-23-2020-18.pdf

apuntes

-

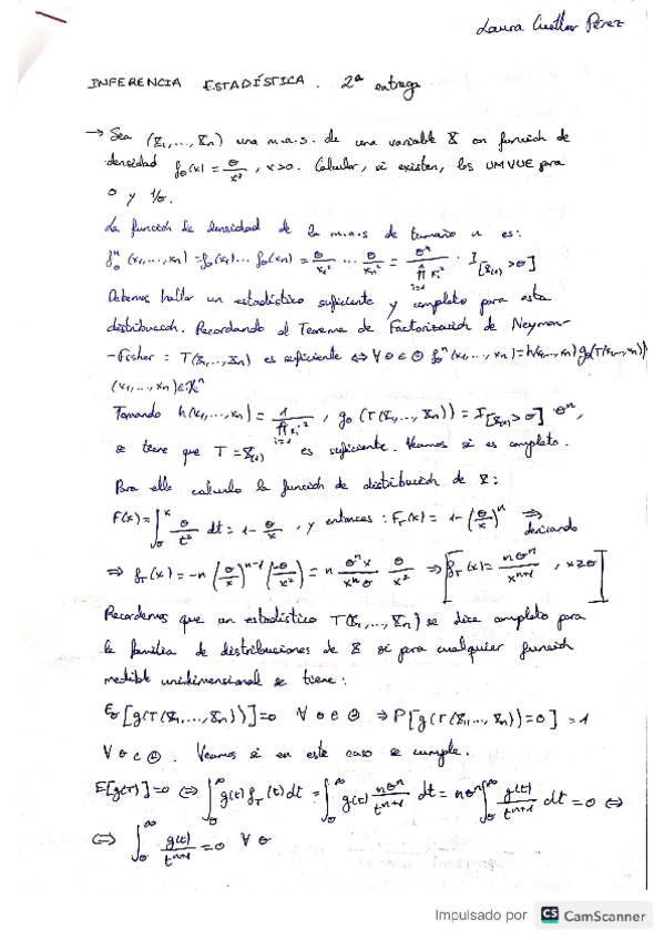
Entregas 2020 Inferencia Estadística

He publicado nuevos apuntes de 3º Inferencia Estadística: Entregas 2020 Inferencia Estadística

CamScanner-11-21-2020-16.pdf
CamScanner-10-25-2020-00.pdf
CamScanner-10-11-2020-20.pdf

examenes

-

ParcialesEDOIIResueltos

He publicado nuevos examenes de 3º Ecuaciones Diferenciales II: ParcialesEDOIIResueltos

ParcialEDOII2019.pdf
Parcial-2019-B-2.pdf

He publicado nuevos apuntes de 3º Ecuaciones Diferenciales II: ResultadosIMPRESCINDIBLES.pdf

3 páginas

apuntes

-

EjerciciosEvaluaciónCorregidos

He publicado nuevos apuntes de 4º Física del Estado Sólido: EjerciciosEvaluaciónCorregidos

CUELLARPEREZT4.pdf
CUELLARPEREZTEMA3.pdf
CuellarPerezTema2.pdf
SolidoEvaluacionT1.pdf

He publicado nuevos apuntes de 3º Física Estadística: ResumenT1PHurtado.pdf

12 páginas

apuntes

-

Resúmenes y ejercicios resueltos Piñar

He publicado nuevos apuntes de 1º Métodos Numéricos I: Resúmenes y ejercicios resueltos Piñar

ResumenTema1Introduccion.pdf
ResumenTema2MetodosDirectos.pdf
MetodosIterativos.pdf
NormasVectorialesYMatriciales.pdf
EjerciciosResueltosRelacion1primeraversion.pdf