@EleVT

87 Publicaciones

1.25k Interacciones

0 Seguidores

0 Siguiendo

Lista de publicaciones de EleVT

He publicado nuevos apuntes de 2º Mejora Genética para la Cría y Salud Animal: EJERCICIOS-RESUELTOS-MEJORA-PRATICA-1.2.pdf

24 páginas

He publicado nuevos practicas de 1º Manejo de los Animales de interés veterinario: Memoria-de-practicas-Manejo.pdf

19 páginas

ejercicios

-

Problemas genética 2-15 ( español e ingles )

He publicado nuevos ejercicios de 1º Genética: Problemas genética 2-15 ( español e ingles )

Problemas-genetica-tema-3.pdf
Genetic-Problems-Unit-2.pdf
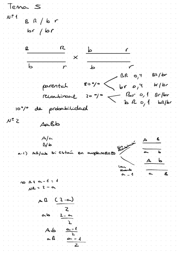
Tema-5.pdf
Unit-4-5-Problems-problemas-genetica-tema-4.pdf
Unit-9-Problems.pdf
Unit-6-7.pdf

He publicado nuevos ejercicios de 1º Genética: Genetic-problems-Unit-1.pdf

5 páginas

He publicado nuevos ejercicios de 1º Genética: Genetica-problemas-Boletin-1.pdf

6 páginas

apuntes

-

Orgánica Esquemas

He publicado nuevos apuntes de 1º Física-Química: Orgánica Esquemas

Organica-Esquemas-Tema-13.pdf
Organica-Esquemas-Tema-11.pdf
Organica-Esquema-Tema-7.pdf
Organica-Esquema-Tema-6.pdf
Organica-Esquemas-Tema-12.pdf
Organica-Esquema-Tema-8.pdf

He publicado nuevos apuntes de 1º Citología e Histología: Dibujos-Histologia-parte-de-organos-con-nombres.pdf

11 páginas

He publicado nuevos ejercicios de 1º Análisis de Datos y Gestión Veterinaria: Ejercicios-resueltos-analisis-de-datos-estadistica-descriptiva-probabilidad-estimacion-y-contraste-de-hipotesis.pdf

10 páginas

practicas

-

Cuadernillo prácticas citología e histologia corregido

He publicado nuevos practicas de 1º Citología e Histología: Cuadernillo prácticas citología e histologia corregido

F8C304D3-293B-4D28-A579-FD9DAB3E695D.jpeg
FE2BF848-3D8A-4BE7-BCF6-9209665C64DF.jpeg
8ADC4D9B-EC93-4A02-BEF6-4A26287451CB.jpeg
3CCE73BE-DA3D-43CD-BE32-D2FCA7E16A14.jpeg
007B03EC-D917-46B9-B684-5ABF5C2B2D0C.jpeg
BE8C9680-0273-4EDC-9D24-DBA3DFE4D1D5.jpeg