@ElGeekDiscreto

Estudios: Grado en Ingeniería Informática (UMA) ...Mostrar más

21 Publicaciones

668 Interacciones

1 Seguidores

0 Siguiendo

Lista de publicaciones de ElGeekDiscreto

illo alguien tiene la foto del examen del año pasado?

He publicado nuevos practicas de 4º Inteligencia Artificial para Juegos: Practicas-Agente-Solitario-solucionado.zip

Miniatura no disponible
zip

He publicado nuevos examenes de 4º Inteligencia Artificial para Juegos: Enunciado-Examen-2022-Bloque-1-IA-para-juegos.pdf

2 páginas

He publicado nuevos apuntes de 3º Sistemas de información para internet: Apuntes-SegundoParcial.pdf

9 páginas

He publicado nuevos examenes de 2º Redes y Sistemas Distribuidos: Part-45-Exer-Jun-2018Solution.pdf

2 páginas

He publicado nuevos examenes de 2º Redes y Sistemas Distribuidos: Parcial-45-Prob-Jun-2014Solucionado.pdf

2 páginas

He publicado nuevos examenes de 2º Redes y Sistemas Distribuidos: Parcial-45-Prob-Sep-2016Solucionado.pdf

2 páginas

examenes

-

Examen C Junio 2024

He publicado nuevos examenes de 2º Programación de Sistemas y Concurrencia: Examen C Junio 2024

Miniatura no disponible
Principal.c.c
Miniatura no disponible
ManageMemory.h.h

He publicado nuevos examenes de 2º Estructuras de Datos: DictionaryStringTrie.java-Enero-2023-java.pdf

5 páginas

He publicado nuevos examenes de 2º Estructuras de Datos: StringTrie-Enero2023.hs.pdf

4 páginas

He publicado nuevos examenes de 2º Estructuras de Datos: EnunciadoEnero2023-Tries.pdf

6 páginas

He publicado nuevos ejercicios de 2º Análisis y diseño de algoritmos: T4-Dinamica-EjResueltos.pdf

4 páginas

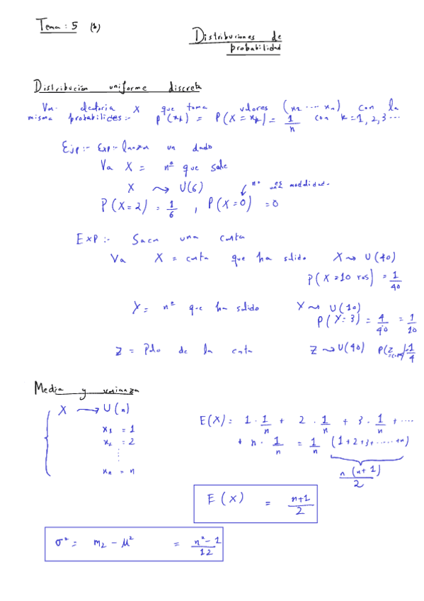
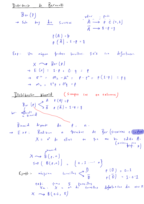
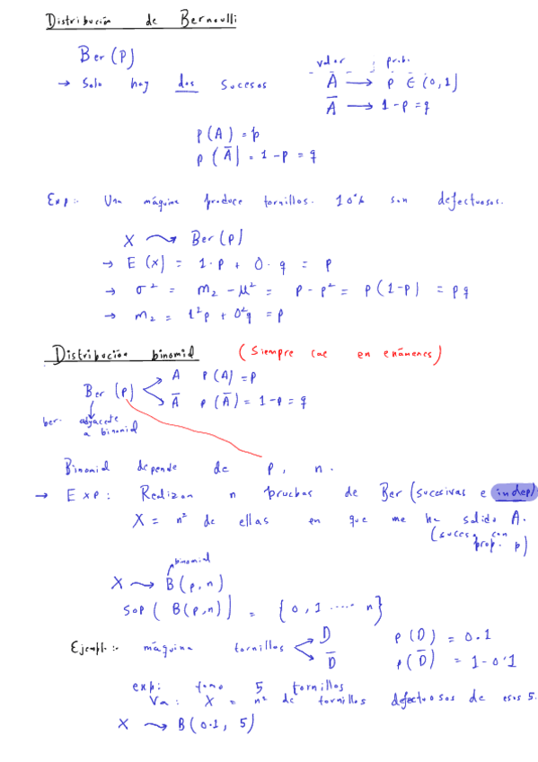
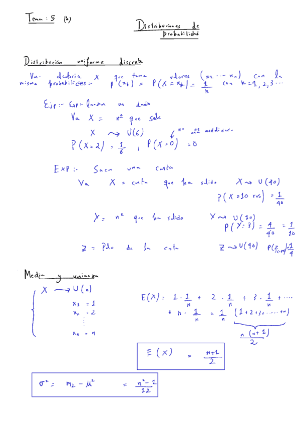
He publicado nuevos apuntes de 1º Metodos Estadisticos para la Computacion: Tema-5-B-Distribuciones-Apuntes.pdf

20 páginas

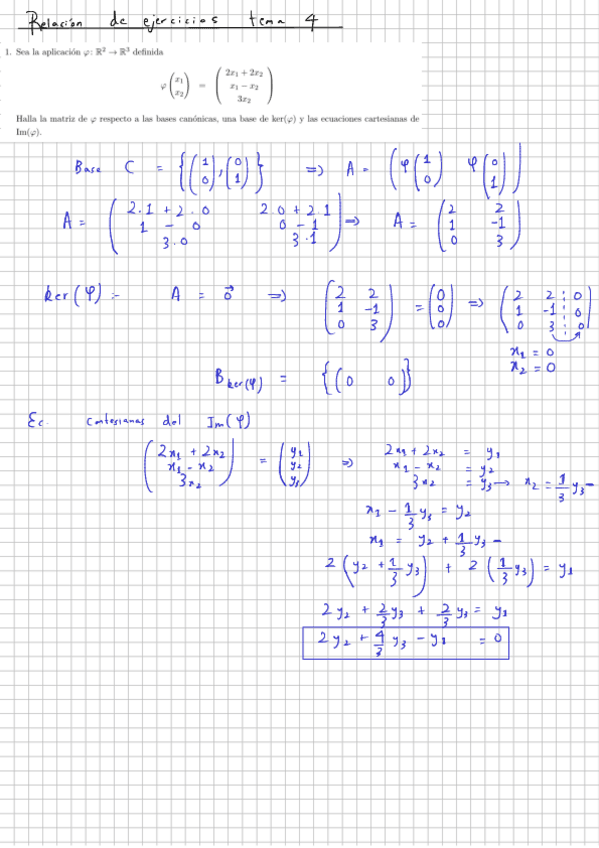
Relación de ejercicios del tema 4 EAC resuelto.

10 páginas

apuntes

-

Apuntes de la clase en inglés - C++

Apuntes teóricos

Basic-programming-fundamentals.pdf
Structured-Data-Types.pdf

He publicado nuevos apuntes de 1º Fundamentos Físicos de la Informática: electricidadT1.pdf

11 páginas