@eliiasalcedo04

Bio: no suspendo ni queriendo chaval

88 Publicaciones

1k Interacciones

11 Seguidores

1 Siguiendo

Lista de publicaciones de eliiasalcedo04

apuntes

-

Macroeconomía

He publicado nuevos apuntes de 2º Macroeconomía: Macroeconomía

TEMA-1.pdf
TEMA-2.pdf

apuntes

-

IFE

He publicado nuevos apuntes de 2º Introducción a las Finanzas Empresariales: IFE

IFE-TEMA-1.pdf
TEMA-2.pdf

apuntes

-

ESTADISTICA AVANZADA

He publicado nuevos apuntes de 2º Estadística Avanzada: ESTADISTICA AVANZADA

EA-T1.pdf

apuntes

-

INVESTIGACION MERCADOS

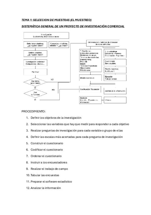
He publicado nuevos apuntes de 2º Investigación de Mercados I: INVESTIGACION MERCADOS

TEMA-1.pdf

He publicado nuevos apuntes de 1º Historia Económica: Practicas-historia.pdf

15 páginas

He publicado nuevos apuntes de 1º Historia Económica: resumen-todos-los-temas-historia.pdf

23 páginas

apuntes

-

DIRECCION DE MKT

He publicado nuevos apuntes de 1º Dirección de Marketing: DIRECCION DE MKT

DIRECCION-DE-MARKETING-TEMA-1.pdf
TEMA-2.pdf
TEMA-3.pdf
TEMA-4.1.pdf
Tema-4.2.pdf
TEMA-5.1.pdf

apuntes

-

MATES SELECTIVIDAD

He publicado nuevos apuntes de 2º Matemáticas aplicadas a las Ciencias Sociales II: MATES SELECTIVIDAD

CONTINUIDAD-Y-DERIVABILIDAD.pdf
CONTINUIDAD-Y-DERIVABILIDAD.pdf
ESTADSTICA-23-19.pdf
ESTADSTICA-23-19.pdf
FUNCIONES-23-19.pdf
FUNCIONES-23-19.pdf

apuntes

-

ECONOMIA SELECTIVIDAD (12,04)

otro 10 facilito

FUENTES-DE-FINANCIACION-EXTRA.pdf
FUENTES-DE-FINANCIACION-EXTRA.pdf
MARKETING.pdf
MARKETING.pdf
PYMES-MULTIS-Y-CRECIMIENTOS-INTEXT.pdf
PYMES-MULTIS-Y-CRECIMIENTOS-INTEXT.pdf

He publicado nuevos apuntes de 2º Contenido de Interés: HORARIO-SELECTIVIDAD-2025.pdf

1 página

apuntes

-

HISTORIA ESPAÑA SELECTIVIDAD

en este saque un 10, tu mismo :)

BLOQUE-4y5.pdf
BLOQUE-7.2.pdf
BLOQUE-9.pdf

apuntes

-

INGLES SELECTIVIDAD (12,04)

He publicado nuevos apuntes de 2º Inglés II: INGLES SELECTIVIDAD (12,04)

examenes-selectividad-ingles-corregidos.pdf

apuntes

-

LENGUA SELECTIVIDAD (12,04)

un 10 seguro vamos

EL-TEATRO-DESDE-PRINCIPIOS-DEL-SIGLO-XX-HASTA-1939.pdf
LA-NOVELA-DESDE-PRINCIPIOS-DEL-SIGLO-XX-HASTA-1939.pdf
La-poesia-del-grupo-poetico-del-27-etapasautores-y-obras.pdf
LA-POESIA-DESDE-EL-MODERNISMO-A-LAS-VANGUARDIAS.pdf

apuntes

-

MICRO

He publicado nuevos apuntes de 1º Microeconomía: MICRO

MICROECONOMIA-TEMA-1.pdf
TEMA-2.pdf
TEMA-3.pdf
TEMA-4.pdf
TEMA-5.pdf
Tema-6.pdf