@elmarto_

Estudios: Grado en Psicología (UCM) ...Mostrar más

68 Publicaciones

1.43k Interacciones

7 Seguidores

1 Siguiendo

Lista de publicaciones de elmarto_

apuntes

-

APUNTES MULTIVARIADO

Completos y explicados

TEMA-1.1.pdf
TEMA-1.2..pdf
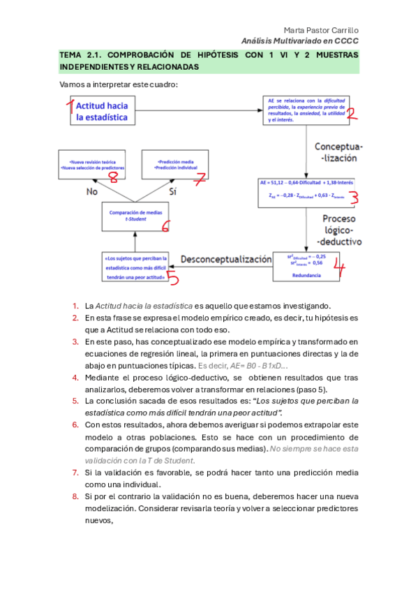
TEMA-2.1.pdf
TEMA-1.3.pdf
TEMA-1.4.pdf
TEMA-1.5.pdf

apuntes

-

Apuntes Trabajo

He publicado nuevos apuntes de 3º Psicología del Trabajo: Apuntes Trabajo

Tema-1.pdf
TEMA-2.pdf
TEMA-3.pdf
TEMA-4.pdf
TEMA-5.pdf
TEMA-6.pdf

apuntes

-

Apuntes Deontología

He publicado nuevos apuntes de 4º Deontología y práctica profesional: Apuntes Deontología

Tema-1-completado.pdf
Tema-2-completado.pdf

apuntes

-

Apuntes Completados Con Lecturas

He publicado nuevos apuntes de 2º Psicología Social II y de los Grupos: Apuntes Completados Con Lecturas

T1TeoriasIntercambio.pdf
T3InfluenciaSocial.pdf
T4Grupos.pdf
T2Agresion.pdf
T5GruposContexto.pdf
T6EstructuraGrupal.pdf

apuntes

-

APUNTES COMPLETOS

He publicado nuevos apuntes de 3º Intervención y Tratamiento Psicológico: APUNTES COMPLETOS

T1Intervencion.pdf
T2Activacion.pdf
T3DesarrolloConductas.pdf
T4ReduccionConducta.pdf
T5PlanificacionDeContingencias.pdf
T6TecnicasAversivas.pdf

He publicado nuevos apuntes de 4º Discapacidad y Rehabilitación Psicológica: Apuntes-completos.pdf

34 páginas

apuntes

-

APUNTES CONFLICTO FLORENTINO

He publicado nuevos apuntes de 4º Psicología de la Persuasión. Conflicto, Mediación y Negociación: APUNTES CONFLICTO FLORENTINO

ConflcitoTema1.pdf
ConflcitoTema3.pdf
ConflcitoTema5.pdf
ConflictoTema7.pdf
ConflictoTema2.pdf
ConflictoTema4.pdf

apuntes

-

APUNTES SALUD

muy completos

PsicoSaludTema1.pdf
PsicoSaludTema2.pdf
PsicoSaludTema2-2aparte.pdf
PsicoSaludTema3.pdf